研究表明人类接收的信息中视觉占80%左右,呈现人们面前的缤纷世界,是基于物质反射的可见光波对人眼作用的结果,例如我们可以用眼睛看到一片生机盎然的绿色植物(图1a)。但人类并不满足于肉眼的观察,而希望深入观察物质世界的内部。放大镜和光学显微镜是人类最早发明的用于观察微观世界的仪器。用光学显微镜可以观察到组成植物的木质素细胞(图1b)。但随着时间的推移,光学显微镜无论如何改善,其分辨率都很难再进一步提高。

(a)

(b)

(c)
图1 (a)木质素植物(照相机), (b)木质素细胞(光学显微镜), (c) 新冠病毒(电子显微镜)[1]
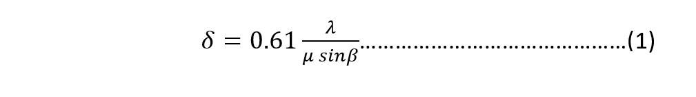
我们知道两个点如果能被光学设备区分开,需要满足瑞利判据(Rayleigh Criterion),见图2,它是衡量光学仪器解析能力的度量。能分辨的最小距离δ 近似表明为,

其中,λ 是光源辐射波长,μ 是介质折射率,β 是放大镜收集半角。μsinβ 称为数值孔径,近似为单位1。以人眼能观测的短波绿光为例,它的波长约为 550 nm,光学显微系统的最高分辨率约为300 nm。

图2 瑞丽判据[2]
当然我们也可以通过改变观测波长,利用紫外线、x射线等,也可增加折射率如油浸显微镜(n=1.5)。但总的来说效果有限。因此人类开发了多种技术尽可能地利用物质波对无机的物质世界、有机的生命体进行探测,人类科技发展也得益于对观测能力的不断提升。图1中的三张照片分别是(a)木质素植物, (b)木质素细胞, (c) 新冠病毒,它们的分辨率分别约为:100μm, 1μm, 0.01μm。图1(c)的分辨率达到10nm,远远小于人眼和光学显微镜的分辨率极限。这一清晰图片的获得,是电子显微镜的功劳。
显微技术发展大事记
下表列出获得诺贝尔奖的成像技术。

表1 获得诺贝尔奖的先进设备和成像技术
从公式(1)可以看出,提高分辨率的最主要的途径是减小显微镜光源的波长λ,如何实现可调波长λ和稳定输出光源是显微镜研究领域的关键核心技术。为此,人们基于物质波的理论,先后开发了电子束光源,离子束光源和中子束光源等先进的光源技术,这些先进的物质波光源照亮了微观世界,也为人们了解和认识微观物质世界打开希望之窗。
本文将分成如下4个部分: 1. 物质波的概念,2.物质波光源与显微技术,3.物质波的微观世界,4.展望。
01 物质波的概念–光源的产生的机理
世界是物质的,也是运动的。基于德布罗意的波粒二象性理论,运动的物质粒子既有粒子特性,也具有波的特性:粒子的动量p 和波长λ 通过普朗克常量联系起来,即

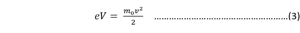
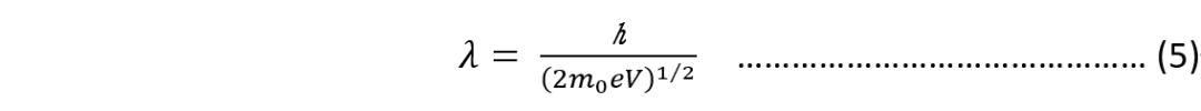
控制辐照光源粒子波长λ 唯一办法就是控制粒子的运动速度。以透射电子显微镜(TEM)中的电子束光源为例,电子被电场加速获得动能,即

电子的动量p 为电子质量m0与电子速度v 的乘积,即

带回(2)式,可得电子束波长和电镜加速电压之间的关系

加速电压V 与电子束波长λ 为反比关系。
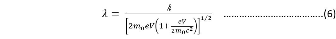
当加速电压超过100 kV时,电子速度比光速一半还大,因此(5)式需进行相对论修正,即

02 物质波光源与显微技术简介
2.1 电子束光源
电子是自然界中广泛存在的一种粒子,在各类物质中均存在。但电子一般是被静电力束缚在带正电的原子核周围,在电子显微镜中所需要的在空间中自由运动的电子是很少见的。为此,科研人员发明了电子枪装置产生电子束光源,电子枪的结构和电子束产生的原理见图3。目前的电子枪按结构可分为两类,热发射电子枪和场发射电子枪。
热发射电子枪中用灯丝加热容易发射电子的物质如LaB6等,物质受热后固体内电子的运动速度增加,超过逸出功的高能的电子可以摆脱静电力的束缚,从材料中发射出来,见图3a。
场发射电子枪中发射材料有一个超级尖锐的顶端,见图3b,在外加电压下尖端的电场强度超级大,导带电子将由量子力学效应随穿逸出,形成电子束。具体工作原理为,第一级电极加几kV正电压,强电场可以将电子从针尖拔出;第二级电极为加速电压,可以用200kV对电子进行加速图3d。场发射电子枪比热阴极电子枪亮度高,相干性好,但成本也高。电了枪的整体结构照片如图3e所示。

图3 a.LaB6热阴极灯丝尖端;b.场发射W针尖,由特定取向的单晶W制造,尖端尤为尖锐;c.灯丝模组;d.场发射灯丝电子抽取电路示意图;e. 电子枪外观[3]
电子束光源性能参数
表2列出了由公式(5)、(6)计算在常见加速电压下电子束光源的性质参数,将表1中数据代回公式(1)可知(使用1.22系数),100kV加速电压所对应电子最小分辨距离约为4 pm (0.004 nm),远小于原子直径(约0.1 nm)。

表2 电子束性质与加速电压的关系[3]
2.2 离子束光源
离子束显微镜观测样品的原理与电子束显微镜一样,区别在于同等加速电压下,离子束进入样品深度随离子种类而不同,质量小的H+、He+较电子束深,Ga+较电子束浅。表3列出几种离子源在不同加速电压下的分辨率。

表3 Ga+、He+束流几个关键参数之比较[4]
离子束源一般是采用将单质元素电离的方法获得,可分为液态金属离子源、气体场离子源,电感耦合离子源等几类。
液态金属离子源
有众多金属或合金可以作为液态金属离子源(LMIS),但最普遍商业化的是Ga金属的离子源,见图4。Ga具有熔点低(约30 ℃);不与钨针尖表面反应,可避免长期储存使用中与钨金属发生合金化反应;同时,Ga的蒸气压低,真空中不挥发;表面能低,可以在钨针尖表面被操控等一系列优点。与场发射电子束光源类似,Ga+离子同样也是分两步产生:

图4 Ga离子源和抽取电极示意图[5]
第一步:第一加热Ga源,使之熔化润湿钨丝并流到前端,形成2-5 μm 直径的液滴。随后在108V/cm的电场和液态Ga自身表面张力作用下,液滴尖端会被拉成“泰勒锥”型,此时最尖端直径达到了2-5 nm;第二步:当形成稳定平衡的“泰勒锥”后,尖端的Ga以场蒸发形式高效率地离子化并逸出表面,产生1×108A/cm2的高亮度束流,“泰勒锥”随后就会被后端的液态Ga补充维持形状。为保证离子束能量的单色性,需要用单一同位素的Ga原子,因此,Ga离子源价格较贵,在保证1000 h使用寿命时,每个源价格一般在3-8万RMB。
气体场离子源
与液态金属离子源结构类似,气体场离子源(GFIS)的拔出电路示意图如图5所示。极细的单晶W针尖作为气体场离子源的发射极放在距拔出电极指定距离处。单晶W针尖轴向取向为[111]方向,在最尖端为3个孤立的原子。拔出极相对离子源是负电位,以获取离子逸出的合适电场。对He离子,在最尖端处需要电场至少为4.4 V/Å,对Ne离子则是3.3 V/Å。由于针尖特别尖锐,这里是针尖等势面最密集的地方,其电场远远大于针尖其它位置。因此,He气、Ne气只能在针尖尖端处的几层原子电离为He离子和Ne离子。被拔出极拔出的He离子或Ne离子则继续被加速电场加速,进行入后续磁透镜系统进行成像。

图5 GFIS气体场离子源束流拔出示意图。a. 拔出电极电路[4];b. He+离子在钨针尖端排列的3个裸露的钨原子处产生;c.实际使用时,将针尖轻微偏转,只用3个原子中最亮的那个原子所产生的离子束进行成像。由于离子束是同一个原子发出的,其束斑超级小(只一个钨原子大),相干性也好,有利于获得高质量大景深的照片。
电感耦合等离子源
作为加工设备的离子源需要高亮度大束流(如250 nA)、能量分布聚焦、长寿命、高稳定的离子源。目前以Xe、Ar、N2、O2为气源的Plasma-FIB(PFIB)成像加工系统的离子源产生方案是:先用电感耦合等离子体源(ICP-source)获得等离子体,以拔出电极施加4-8.5 kV的偏压拔出不同束流的离子束,再以10-30 kV电压进行加速。PFIB设备是最近两年才导入科研用户,我国科研界大致只有4台(截止2020年3月),还没有特别详细的书或文章介绍它的光路系统。
2.3 中子束光源
中子束光源的特点
中子也是一种物质波,和电子类似,中子波长随能量变化。快中子的波长为0.00028 Å,热中子波长为1.8 Å,超冷中子波长为495 Å,和极紫外光(EUV)波长一样。
与电子一样,中子在自然界中也广泛存在,但是自由的中子寿命很短只有15分钟左右,大量的中子是由强相互作用束缚在原子核中的。因此中子要靠核反应产生。
中子束光源发展历史
第一代
同位素放射源和低能加速器源
利用以下反应产生中子

将放射α 射线的238Pu、226Ra 或241Am同金属铍粉末按必定比例均匀混合压制成小圆柱体密封在金属壳中,就可产生中子。1932年查德威克就是利用这个反应获得了中子,并获得了诺贝尔奖。
第二代
反应堆中子源
利用反应堆中的裂变反应产生中子,列如铀235在反应堆中可能通过以下的反应产生中子:

仅有少数国家拥有研究型反应堆,都处于国际原子能机构监督之下[6]。
第三代
散裂中子源
散裂中子源的原理是:用1 GeV左右的中能质子轰击重元素靶(如铅、钨或者铀、钍重靶),当高能质子打到重原子核上时,原子核温度升高,核内的中子就会获得能量“沸腾”起来并脱离原子核的束缚。就像将一个垒球用力投到装满球的筐中,有一些球会立刻蹦出来,而更多的球则会相互碰撞、弹跳并翻出筐外。散裂中子源具有高的有效中子通量、无放射性核废料等特征。

图6 散列中子源产生过程的示意图[7]
由于中子不带电荷,无法用电场进行加速,因此目前大多是采用获得高能中子再进行慢化的方法获得不同能量的中子,从而改变中子束波长。
图7是美国Aerotest反应堆中子成像设施[8]。2018年,中科院高能所和中科院物理所合作设计建造了中国散裂中子源(CSNS)已在广东东莞投入实际运营,总体达到了国际先进水平。见图8。

图7 第二代反应堆源[8]

图8 第三代散列源:2017年2月中国散裂中子源园区鸟瞰图[9]
2.4 显微镜成像光路
图9 给出了几种显微镜光路简图,(a)光学显微镜,(b)透射电子显微镜TEM,(c)扫描电子显微镜 SEM,这几种显微镜的光路类似,都包含光源部分,光路部分和探测部分。
对于光学显微镜我们都很熟悉,其核心是由多组凸透镜组成,作用是将样品的像放大并移动到合适的观察位置上。电子束和离子束由于带电,可以用电磁场来控制。电场和磁场都可以制成透镜,但由于目前的电子束速度越来快,静电场的强度有限,所以目前主流是采用磁场做透镜。见图11。

图9 显微镜的光路简图[10],(a)光学显微镜,(b)透射电子显微镜TEM,(c)扫描电子显微镜 SEM
对比几种仪器的光路我们可以发现透射电子显微镜的光路和光学显微镜的超级类似,但扫描电镜的工作原理与前两者有很大的不同。图10给出了扫描电镜收集信号的种类。

图10 SEM收集信号种类
如果将电子束的加速电压从TEM的200 kV降为30 kV或更低,并汇聚起来,则成为扫描电子显微镜(SEM)的光源。聚焦的电子束照射在样品表面(几纳米范围)和进入样品内部时,与样品原子核、核外电子相互作用,会产生二次电子、背散射电子、俄歇电子、X射线、可见光等信号,见图10。SEM一般收集二次电子或背散射电子成像,聚焦电子束在某一时刻只能测量一个位置上的材料对电子的反射信号,要测量样品不同位置的材料特性就要不断移动电子束的聚焦位置,这是就扫描两个字的来源(日语是“走查”)。若将电子束换为离子束,则变为离子束显微镜。
目前的电镜中电子束的波长可以达到pm的数量级,但为什么在普通TEM只能看到晶格像(nm 尺度)却无法看清原子像?分辨率损失了数百倍!这是由于TEM中电子的行进路径以磁透镜偏折控制,见图11,而目前最好的磁透镜效果也很“烂”,它对于透射电镜的效果,就像使用以可口可乐瓶底为透镜的光学显微镜来观察样品[3]。

图11. 透射电镜所用的一些磁透镜示意图[3]
近年来,随着球差矫正器(多组磁透镜联立使用)、单色器(使电子能量一致)的应用,人们可以看到原子级分辨的图片了,只是需要为每种功能额外添加约100万美元。需要强调的一点是:能观测到原子像的TEM是超级娇贵的,对环境要求超级高,就像格林童话中的豌豆公主一样,要建设减振台,特殊的恒温室,进行电场屏蔽、磁场屏蔽等,这样装修一个大致1/4教室面积的实验室,需要花费300万人民币。
中子源显微镜和光学显微镜、x射线成像类似,是用一些对中子有折射作用的材料制成透镜,但由于中子的穿透能力强所以中子透镜制作困难,目前,中子源显微镜的分辨率并不高。
(未完待续)
▶ 物理所师生原创投稿 ◀
作者:孟繁琦
审稿:张庆华
欢迎所内师生通过“物理所网上办公平台”投稿!方式如下:登录“办公平台”→“办事大厅”→“综合处事务”→“科普文章投稿”。
编辑:Dannis
↓ 点击标题即可查看 ↓
1. 物理定律告知你:表白可能巨亏,分手必定血赚
2. 震惊!昨天你们立起来的扫把,甚至真的惊动了 NASA
3. 酒精和 84 消毒液到底能不能一块用?
4. 一次性医用口罩是怎么做出来的?如何消毒?
5. 数学好玩个球啊,这支豪门球队用一群数理博士横扫球场
6. 「测温枪」到底是怎样测出你的温度的?
7. 等量 0 度水和 100 度水混合能得到 50 度水吗?
8. 人类为什么喜爱亲吻?
9. 病毒从哪里来?
10. 一见钟情,到底靠不靠谱?



收藏了,感谢分享