Buck 电路电感电流的计算

内容分享4个月前发布 DunLing
1 1 0

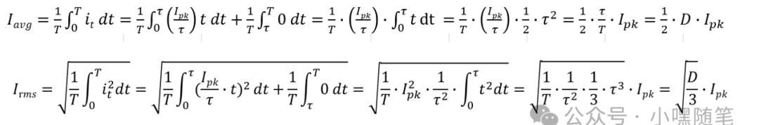
1. 三角波的平均值和有效值:

Buck 电路电感电流的计算

Buck 电路电感电流的计算

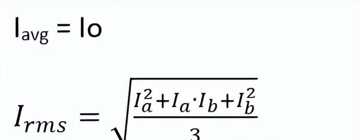
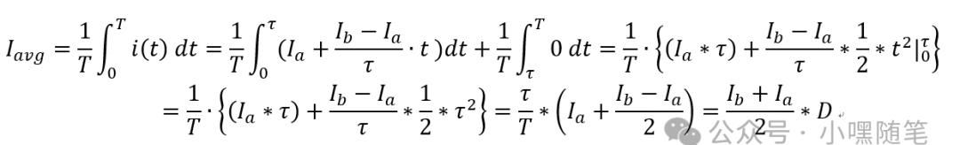
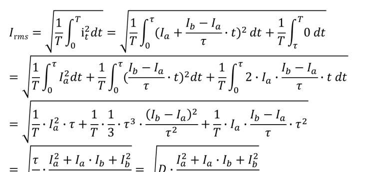
2. 梯形波的平均值和有效值:

Buck 电路电感电流的计算

Buck 电路电感电流的计算

Buck 电路电感电流的计算

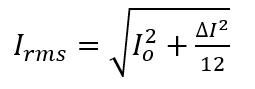
3. 连续三角波的平均值和有效值:

Buck 电路电感电流的计算

Buck 电路电感电流的计算

Buck 电路电感电流的计算

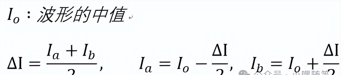
那么电流有效值可以简化为:

Buck 电路电感电流的计算

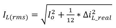
连续模式电感电流波形如下:

Buck 电路电感电流的计算

对应的电感电流有效值为:

Buck 电路电感电流的计算

计算公式很简单,但是展开计算的确 需要对微积分知识掌握得比较好,否则推导的过程容易出错。

实际上,我们也不会每次计算都去推导,一般都会将其公式录入到Excel 中,然后自动计算数值, 或者直接在Mathcad 中录入公式,也可以计算数值,还可以看到波形的变化。

© 版权声明

相关文章

1 条评论

您必须登录才能参与评论!
立即登录
  • 头像
    帕格豆尼尼 读者

    收藏了,感谢分享

    无记录