在前面的文章中,我们讲到使用FFD形变作为坐标变换模型,使用梯度下降法作为优化算法来寻求FFD的最优控制参数:
图像配准系列之基于FFD形变与梯度下降法的图像配准
LM算法可以看作是梯度下降法与高斯-牛顿法的结合算法,它既具有梯度下降法的稳健性,又具有高斯-牛顿法的快速收敛性,而且相比来说更不容易陷入局部极值。有关LM算法的数学公式推导,我们也在前文中有详细说明:
最优化算法之牛顿法、高斯-牛顿法、LM算法
本文我们将使用LM算法作为优化算法来寻求FFD变换的最优控制参数。并与梯度下降法比较配准结果。
1. LM算法的计算过程
(1) 差分法求控制参数的梯度。
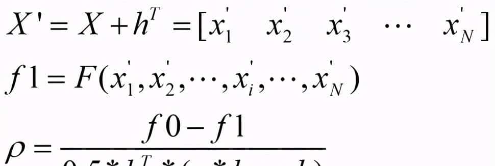
假设FFD变换模型有r+3行c+3列的控制点,每个控制点有x方向、y方向的两个控制参数,因此总共有N=2*(r+3)*(c+3)个控制参数需要优化,所有控制参数组成一个1行N列的向量X:

对于每个控制参数,其梯度的计算如下式,其中F为目标函数,EPS为一个较小的数,一般取1或者0.5即可。

所有控制点的梯度组成一个1行N列的梯度向量:

(2) 计算当前控制参数的目标函数值f0、矩阵gk、海塞矩阵H。

(3) 使用海塞矩阵计算矩阵G、矩阵h。

上式中,u为LM算法的控制步长,一般u取一个较小的初始值(列如0.001),在迭代优化过程中u的值根据情况而改变,详细如何改变在后续步骤说明。矩阵I为N*N的单位矩阵:

(4) 判断是否满足以下条件,如果满足则认为找到最优控制参数,因此停止循环迭代:

上式中,norm函数为L2范数,e一般取一个很小的值,列如10-12。列如X的L2范数可按下式计算:

(5) 更新X得到X',然后计算X'的目标函数值f1,并计算步长因子ρ。

(6) 判断ρ是否大于0。
I. 如果ρ大于0则减小u的值:
则把X'赋值给X,并改变u的值。接着判断迭代次数是否达到设定的最大次数,如果达到则停止迭代,否则跳转到第(1)步执行。

II. 如果ρ小于等于0则增大u和v:

接着判断迭代次数是否达到设定的最大次数,如果达到则停止迭代,否则跳转到第(3)步执行。
上式中,在迭代开始之前一般把v初始化值为2。
2. C++实现代码
cal_gradient、F_fun_bpline、Bspline_Ffd_cuda、init_bpline_para在上篇文章中已经讲过,此处不再重复贴出来:
图像配准系列之基于FFD形变与梯度下降法的图像配准
求海塞矩阵代码:
Mat cal_hessian_matrix(Mat gradient)
{
Mat gradient_trans;
Mat hessian;
transpose(gradient, gradient_trans); //转置
hessian = gradient_trans*gradient;
return hessian;
}
LM算法代码:
void bpline_match_LM(Mat S1, Mat Si, Mat &M, int row_block_num, int col_block_num, Mat &grid_points)
{
int iter = 150; //迭代次数
double e = 1e-12; // 误差限
double u = 1e-3;
double v = 2.0;
Mat H;
Mat G;
Mat new_grid_points;
Mat I = cv::Mat::eye(grid_points.cols, grid_points.cols, CV_32FC1); //单位矩阵
Mat h, h_T;
Mat gradient, gradient_T;
float f0, f1;
Mat gk;
double low = 1.0;
cal_gradient(S1, Si, row_block_num, col_block_num, grid_points, gradient); //求梯度
f0 = F_fun_bpline(S1, Si, row_block_num, col_block_num, grid_points);
transpose(gradient, gradient_T);
gk = gradient_T*f0;
H = cal_hessian_matrix(gradient); //由雅克比矩阵计算海塞矩阵
for(int i = 0; i < iter; i++)
{
G = H + u*I;
Mat G_T;
invert(G, G_T, DECOMP_SVD);
h = -G_T*gk;
if(norm(h, NORM_L2) < e*(norm(grid_points, NORM_L2)+e))
break;
transpose(h, h_T);
new_grid_points = grid_points + h_T;
f1 = F_fun_bpline(S1, Si, row_block_num, col_block_num, new_grid_points);
Mat L_0_h = 0.5*h_T*(u*h-gk); //1_N*N_1 = 1*1
low = (f0 - f1)/L_0_h.at<float>(0, 0);
if(low > 0)
{
grid_points = new_grid_points.clone();
double tmp = 2*low-1;//5*low-1;
tmp = 1 - tmp*tmp*tmp;
double t = 0.333333;
u = u*(t > tmp ? t : tmp);
v = 2;
cal_gradient(S1, Si, row_block_num, col_block_num, grid_points, gradient); //求梯度
f0 = F_fun_bpline(S1, Si, row_block_num, col_block_num, grid_points);
transpose(gradient, gradient_T);
gk = gradient_T*f0;
H = cal_hessian_matrix(gradient); //由雅克比矩阵计算海塞矩阵
}
else
{
u *= v;
v *= 2;
}
cout<<"f1="<<f1<<", low="<<low<<", u="<<u<<endl;
}
Bspline_Ffd_cuda(Si, M, row_block_num, col_block_num, grid_points);
}
测试代码:
void ffd_match_LM_test(void)
{
Mat img1 = imread("lena.jpg", CV_LOAD_IMAGE_GRAYSCALE);
Mat img2 = imread("lena_out.jpg", CV_LOAD_IMAGE_GRAYSCALE);
int row_block_num = 30;
int col_block_num = 30;
Mat grid_points;
init_bpline_para(img1, row_block_num, col_block_num, grid_points, -0.001, 0.001);
Mat out;
bpline_match_LM(img1, img2, out, row_block_num, col_block_num, grid_points);
imshow("img1", img1);
imshow("img2", img2);
imshow("out", out);
imshow("img1-img2", abs(img1-img2));
imshow("img1-out", abs(img1-out));
waitKey();
}
运行上述代码,对扭曲的Lena图像进行配准,结果如下图所示。

基准图像

浮动图像

配准图像

基准图像与浮动图像的差值图

基准图像与配准图像的差值图

目标函数值的下降过程
由上图可知,LM算法的优化结果比梯度下降法更理想,其收敛速度更快,且优化结果更接近最优解。



