1、课程及模型介绍
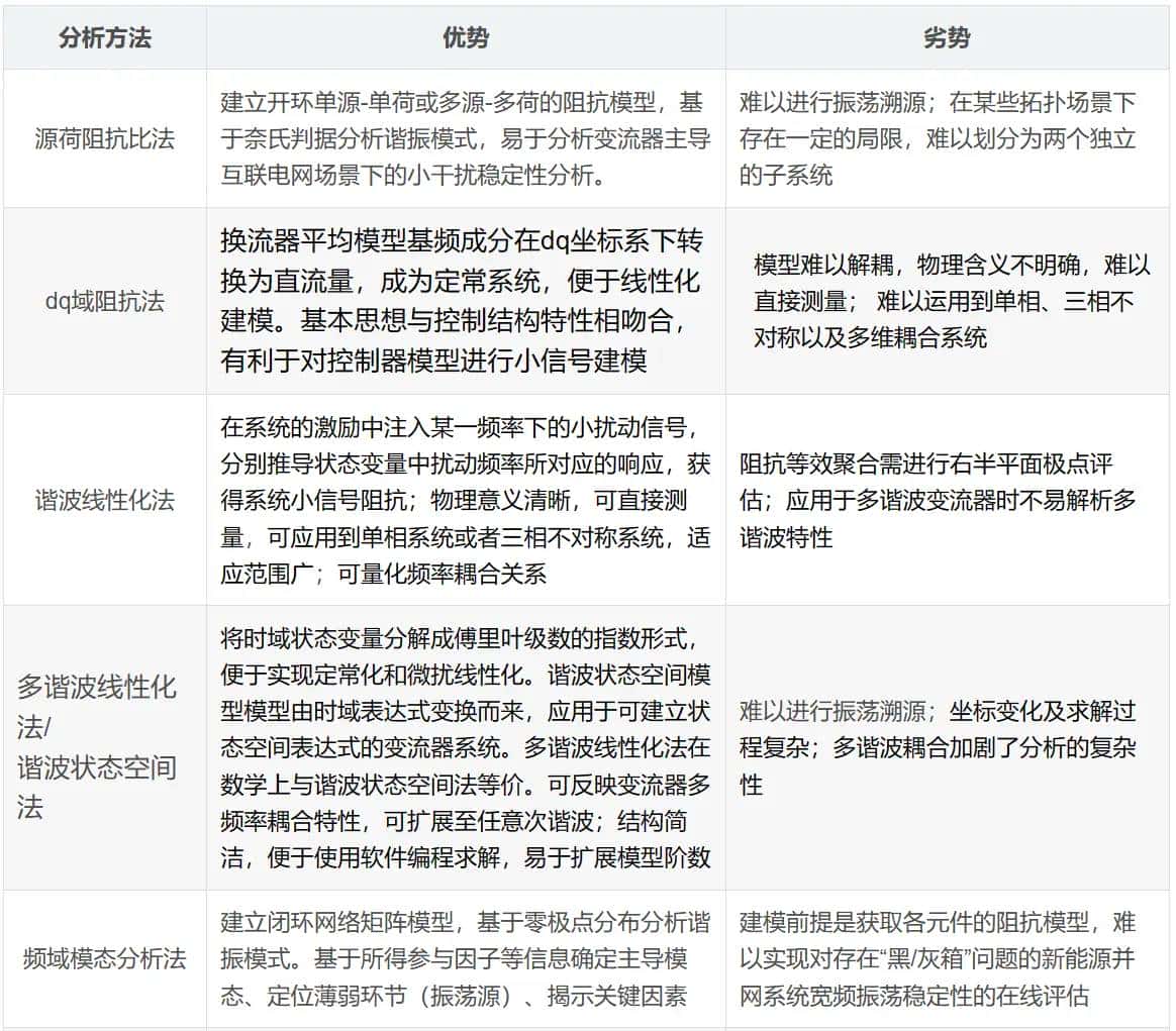
2、小干扰稳定性分析方法对比
2.1 频域阻抗分析法 2.2 时域模态分析法
2.3 仿真分析法/频率扫描法
2.4 复转矩系数法
2.5 幅相动力学法
3、频域阻抗分析法
3.1 dq域阻抗法
3.2 相序域阻抗法
3.2.1 谐波线性化法
3.2.2 谐波状态空间法/多谐波线性化法
3.3 极坐标阻抗法
3.4 频域模态分析法
3.5 阻抗灵敏度分析法
4 基于频域阻抗的小干扰稳定性分析算例
4.1 基于Nyquist判据的阻抗稳定性分析
4.2 仿真算例准确复现小干扰振荡现象
4.3 阻抗灵敏度计算、主导参数筛选及阻抗交互作用分析
4.3.1 阻抗灵敏度计算及主导参数筛选
4.3.2 阻抗交互作用分析
4.4 主导参数变化时的稳定域定量分析
5 小干扰稳定性专栏出版声明
6 文章版权声明
参考文献
1、课程及模型介绍
本人为985院校电气工程博士在读,研究方向为新型电力系统小干扰稳定性分析。本文为小干扰稳定性分析系列文章中的第二篇,重点讲解新能源发电并网系统/变流器并网系统小干扰稳定性分析方法/振荡评估方法(频域阻抗分析法/时域模态分析法)。小干扰稳定性分析的基础是小干扰稳定性模型,小干扰稳定性模型的准确度决定了小干扰稳定性判定结果的准确性。前文已进行过跟网型变流器VSC序阻抗建模原理讲解及详细推导(本文链接:基于谐波线性化方法的跟网型并网变流器/VSC宽频序阻抗建模及扫频(Matlab/Simulink平台)及文献复现)。
本文目的在于,将复杂繁琐的小干扰稳定性理论体系铺开讲解、详尽细化、挖深原理,结合频域阻抗稳定性分析、时域仿真验证、阻抗灵敏度分析、稳定域绘制等应用算例,让小干扰稳定性理论知识更加容易理解学习,与各位同行进行学术分享,希望对大家有所协助,不足之处也欢迎大家多多批评指正。
欢迎留言交流探讨。各位如果有需要获取本文章中涉及的代码和模型,可联系QQ:2293540475。
2、小干扰稳定性分析方法对比
随着“双碳”目标的确立及能源转型发展的需求,新能源渗透率不断增加,预计到2060年,以风光为代表的可再生能源将占据主导地位。大规模新能源电站、超/特/高压交/直流输电、固态变压器、电力电子负荷逐步渗透电力系统的“发-输-配-变-用”的各个环节,电力系统逐步呈现“高电力电子化、高比例新能源化”的新型电力系统发展趋势。新型电力系统呈现出不同于传统同步发电机主导的稳定问题,IEEE/CIGRE于2020年发布了新的技术报告。在原有稳定性分类的基础上新增了变流器驱动稳定和谐振稳定,对电力系统稳定性进行扩展,涵盖了电力电子设备引发的稳定问题。最新IEEE电力系统稳定分类如图1所示[1-2]。

图1 IEEE电力系统稳定分类
如图1所示,新增稳定分类中,变流器驱动稳定性主要是由变流器接口设备控制过程的多尺度交互作用引起的,按振荡频率分为慢互作用与快互作用。谐振稳定性又分为电气谐振与扭振谐振,前者主要指同步发电机与串补线路的感应发电机效应,后者主要指同步发电机的轴系扭振。由于新能源发电资源与负荷存在时间和空间分布上的不匹配性,配置了较长的线路和较多的电力电子设备(Electric Device,ED),各元件之间以及各元件与电网动态之间的交互作用涵盖宽频范围,致使新型电力系统具有高宽频振荡风险、宽影响范围及复杂多尺度振荡机理,宽频振荡频率范围涉及数Hz至数kHz,大大增加了电网及设备的安全隐患。图2为国内外典型宽频振荡事故的总览概况[3]。

图2 国内外典型宽频振荡事故
在新型电力系统发展背景下,受电力电子装备高频离散式开关操作、强非线性环节以及不同控制模式或运行工况下控制策略序贯切换的影响,新能源设备相较于传统机组及输配电设备具有更复杂的非线性、切换性及离散性,加大了其稳定性分析难度。本文从不同小干扰稳定性分析视角出发,对现有宽频小干扰稳定性问题及振荡机理用进行梳理归纳。新能源发电并网系统/新型电力系统可以通过数学变换形成不同的稳定判据及对应等效模型,可从不同视角描述小干扰稳定性分析方法/判据,不同小干扰稳定性分析方法/判据对稳定性机理的剖析效果各不一样。基于稳态工作点/稳态运行轨迹的小干扰线性化分析体系[3-16]可细分为频域阻抗分析法、时域模态分析法和时域仿真分析法/频率扫描法、复转矩系数法、幅相动力学法等。
2.1 频域阻抗分析法
频域阻抗分析法是近年来分析新能源发电并网系统/新型电力系统宽频振荡问题的主流方法,这类方法通过推导电力电子设备及系统中其他元件的阻抗矩阵,将含有电力电子设备的系统等效为阻抗网络,建立系统频域阻抗模型,采用Nyquist稳定性判据分析系统的稳定性。该方法的基本思路是,第一计算获得并网系统的阻抗特性,根据Nyquist稳定性判据确定系统的谐振点,并根据谐振点频率处的阻尼特性判定系统的稳定性。若谐振点频率处存在正阻尼,则系统稳定、无振荡风险,若正阻尼程度较高,则说明系统具有鲁棒稳定性;若谐振点频率处呈现负阻尼特性,则系统存在谐振点,受到小干扰后易发生振荡。
频域阻抗模型可以采用传递函数的形式紧凑地表征系统的宽频多时间尺度及高维特性,对于单个变流器体现为阻抗特性。对于多变流器系统,可采用阻抗网络聚合方法,第一建立风电场各元部件的阻抗模型,根据风电场实际拓扑结构,构建风电场阻抗网络,通过风电场阻抗块电路联接之间的串并联关系得到风电场出口等效阻抗。变流器阻抗在电路上可扩展性强、易于测量且具有实际物理意义。在设备参数不易获取的情况下还可以将电力电子设备视为黑/灰箱,通过测量的手段得到其阻抗模型。近年来有学者提出了基于灰箱辨识的新能源并网系统频域阻抗建模方法[8],实现阻抗模型白箱化。综上,频域阻抗分析法在新能源发电并网系统/新型电力系统宽频振荡问题分析中得到了广泛应用。根据系统拓扑信息的不同,可分为源荷阻抗比法、频域模态分析法。源荷阻抗比法中根据解析动态特性程度的不同,又可细分为dq域阻抗法、极坐标阻抗法、谐波线性化法、谐波状态空间法/多谐波线性化法。
阻抗稳定性分析法研究变换器并网系统稳定性影响因素时,主要通过改变相关参数大小观察系统稳定性变化趋势分析相关参数对稳定性的影响。这种间接分析方法不能直观、定量分析参数对稳定性的影响。阻抗灵敏度分析方法[14]通过计算关键传递函数或关键特征值的偏导数灵敏度,结合不同阻抗类型变换器系统等效判据,直观、定量地分析系统参数对变换器系统小干扰稳定性的影响,并定位影响稳定性的主导因素,针对性地指导主导参数设计或附加阻尼控制策略设计以提升系统稳定性。
2.2 时域模态分析法
基于状态空间模型的时域模态分析法根据系统状态空间模型,在平衡点线性化后得到系统的小信号模型,求解系统状态矩阵的特征值以判断系统的稳定性。当系统矩阵的特征值位于复平面的左半平面时,系统稳定;当特征值位于虚轴上时,系统呈临界稳定特性;当特征值分布在复平面的右半平面时,表明系统具有不稳定振荡模态,存在小干扰失稳风险。通过对系统矩阵进行特征值计算,判断系统的稳定性可获得系统各模态阻尼比及振荡频率。分解特征值得到左右特征向量后,计算各模态的参与度信息,可进一步获得稳定性影响规律及机理。
当采用状态空间方法进行稳定性分析时,需要获取并网变流器和电网组成单元的全部参数,才能建立起统一的系统状态空间模型。在此基础上进行小干扰线性化,并分析该系统小干扰状态空间模型的特征方程和特征向量来判断系统的小干扰稳定性。可见,在分析系统稳定性时状态空间方法依赖于系统的完整性和确定性。对于复杂的新能源并网系统/新型电力系统而言,由于变流器多带宽控制引入的模型阶数高、时间尺度跨度大、系统刚性强等问题,线性化系统状态矩阵的维数高,时域模态分析方法在状态空间建模和特征模式数值求解等方面的难度较大,存在“维数灾”问题。而且系统组成单元结构和参数随时改变,一旦变化需重新建立系统状态空间模型,难以用数学模型表达特征根与元件参数、运行参数的关系。
2.3 仿真分析法/频率扫描法
仿真分析法通过利用时域仿真软件建模来模拟系统的动态特性,仿真软件中用数值积分的方法求解系统运行状态的微分方程组,获得动态过程中系统变量随时间变化的时域仿真响应曲线,从而分析系统的动态特性。仿真分析法的模型范围适用范围广,适用于线性设备及非线性设备的特性分析。但是当系统元件或参数发生改变时,需重新建模仿真,而且该方法难以刻画系统的稳定机理和主导因素,适合于复现相关振荡现象、验证稳定性分析或控制结论。
频率扫描法属于时域仿真分析法,其通过在仿真模型中注入并测算待研究系统的阻抗特性曲线以分析系统的稳定性。频率扫描法适用范围广泛,可在较宽频段内分析各类复杂系统的阻抗特性及其稳定性,并且可以作为辅助手段验证阻抗模型理论推导的正确性。但是频率扫描法无法分析振荡的发生机理,其作为一种线性方法难以分析系统的非线性机理。
2.4 复转矩系数法
复转矩系数法利用等效的电气转矩和机械转矩分析以火电机组为代表的机电振荡稳定性,也可以拓展用于分析电力电子化电力系统引发的电磁暂态振荡问题。可分为2类研究思路,第1类方法将待研究的电气系统视为一个整体,忽略机械部分的影响,通过电气阻尼系数分析稳定性。第2类方法用于分析某一控制环节对系统稳定性的影响,将待研究部分和其余电气系统划分成两个子系统,分析系统小干扰稳定性。复转矩系数可以通过系统的传递函数模型得到,还可以通过物理系统的测试曲线或者时域仿真响应曲线计算获得。
复转矩系数法相比于特征值分析法计算量小,灵活多样,可以直观分析不同控制环节的交互作用机理。但该方法同样不适用于分析振荡的非线性特性。
2.5 幅相动力学法
幅相动力学体系可分析电力电子化电力系统的多时间尺度动态稳定性问题。该体系主要包括三部分内容:基于幅相动力方程的装置及网络建模方法、基于自稳性/致稳性的动态互作用分析方法和基于广义稳定器的动态稳定控制方法。该理论认为电力电子设备具有和同步发电机类似的内电势,不同之处在于同步机的内电势位置和幅值分别由转子的运动和励磁电压的控制形成,多尺度控制算法和锁相环共同决定线性化幅相运动方程,是电力电子设备内电势的幅相运动规律的数学表达。
对于新能源发电系统/新型电力系统,各元件设备均存在内电势,系统受扰后,不平衡功率将通过元件设备的控制器决定各内电势的变化趋势,并通过网络耦合使各元件设备间的不平衡功率状态发生变化,从而形成闭环作用过程。目前相关理论已用于并网变流器的小信号稳定性分析等方面。但该方法建模过程相对复杂,装备内电势幅相存在复杂的耦合关系,在复杂系统的应用有待进一步验证。
综上所述的小干扰稳定性分析方法总结如表1所示。其中,频域模态分析法的对比总结如表2所示。相比于其他小干扰稳定性分析法,基于阻抗模型的频域稳定性分析法关注设备与网络端口特性,任意的新能源并网系统均可由设备阻抗和电网阻抗统一描述。该方法在建立互联系统各装备阻抗模型的基础上,采用奈奎斯特(Nyquist)判据分析系统的动态稳定性,具有物理意义更为明确、对振荡点的特性观测更为准确及计算更为简便等优点,目前广泛应用于新能源并网系统/新型电力系统稳定性分析领域。本文将重点阐述基于频域阻抗的小干扰稳定性分析法的机理、特点及应用,并通过小干扰稳定性分析算例,说明总结该方法的应用优势和技术特点。
表1 小干扰稳定性分析方法总结

表2 频域模态分析方法总结

3、频域阻抗分析法
频域阻抗分析方法目前已成为研究小干扰动态稳定性的重大手段。谐波线性化建模法适用于两电平变流器/电力电子设备的小干扰稳定性分析。谐波状态空间适用于MMC等具有复杂拓扑和谐波动态设备的小干扰稳定性分析。通过坐标变换,可实现极坐标阻抗、dq(直角坐标)阻抗或序坐标(pn)阻抗的相互转化,3种模型保留了不同的输入/输出变量,对应的稳定判据不同。由于3种稳定判据的基础模型一样,三者在稳定性判别结果上等价。但物理意义不同。其中,广义阻抗判据保留系统的相位回路,描述了设备与电网相位阻抗匹配特性,可解释同步稳定性;序阻抗判据以正序/负序阻抗谐振条件作为稳定判据,描述了序电路的等效阻抗谐振特性,可从机理上分析小干扰稳定性问题。功率因数为1时,直流电压稳定判据保留了直流电压/输出功率,可解释幅值稳定问题。
本文将基于阻抗视角,介绍不同频域阻抗分析法的特点。最后,基于VSC交流并网系统和Nyquist稳定性判据,通过分析小干扰稳定性、计算阻抗灵敏度、绘制稳定域、仿真复现振荡现象等案例,详尽说明稳定性分析的全套应用手段,提供完整的小干扰稳定性分析案例供各位学习参考。
3.1 dq域阻抗法
为了解决交流变流器的非线性时变问题,dq域阻抗分析法将变换器模型转换到dq轴下,得到直流稳态工作点,并进行小干扰线性化,从而推导出dq轴二维耦合阻抗模型,并在dq轴坐标系下根据Nyquist稳定性判据分析系统的小干扰稳定性。三相并网变流器系统的控制环节一般基于dq坐标系,而dq轴线性化建模方法的基本思想恰好与该结构对应,从而简化建模。
经过dq变换的数学模型出现了两个坐标之间的耦合,增加了系统稳定性分析的复杂性。利用dq坐标系下的模型设计控制器时,为了提高控制精度,需要设计解耦控制环节。dq域阻抗模型的d轴和q轴分量相互耦合,物理含义不明确,不利于测量模型阻抗参数。dq域阻抗分析法不适于单相系统或三相不对称系统,单相系统难以进行dq变换,而对三相不对称系统进行dq变换后,会出现时变的0轴分量,使系统难以线性化。对于含有多谐波耦合特性的DC/AC拓扑(如MMC、晶闸管整流器等),单一频率下的dq变换仅将基频成分转换为直流,无法解析其他稳态谐波,而且,采用Nyquist判据分析系统小干扰稳定性难以计算出稳定裕量,不便于指导控制策略设计。
3.2 相序域阻抗法
相序域阻抗分析法是指在相域静止坐标系下建立系统序阻抗模型,进一步采用Nyquist稳定性判据判定并网系统稳定特性的方法。主要可分为谐波线性化法、多谐波线性化法、谐波状态空间法等。
3.2.1 谐波线性化法
Jian Sun教授于2009年提出了基于谐波线性化的电力电子装置正负序阻抗建模方法,得到了具有物理含义清晰的正负序阻抗以及应用简便的稳定性判据。谐波线性化方法是获取沿周期性时变轨迹运行的非线性系统小信号线性模型的方法,其中非线性系统的运行轨迹可以包括单个或多个谐波分量。当采用谐波线性化方法进行阻抗建模时,其基本思路是通过对系统激励叠加谐波扰动,在扰动频率处利用谐波平衡和小干扰线性化获取相关电气量的频率响应,并得到系统的谐波线性化阻抗模型。该方法克服了传统相量模型在频域范围上的局限性以及电磁暂态模型不可线性化的问题,并且在此阻抗模型基础上建立的系统小干扰等效电路模型可有效地揭示不同电力电子装置(新能源变流器、FACTS 及HVDC等)与电网之间相互作用的机理,包括次同步/超同步振荡问题、中高频振荡问题的缘由与机理。
采用谐波线性化的阻抗建模方法能够准确建立反应两电平并网变流器自身特性的序阻抗模型。针对MMC建模,思考其稳态运行工况下内部电气分量相互耦合作用,子模块电容电压、桥臂电流中包含大量谐波分量,复杂内部动态特性致使建模难度增大,谐波线性化方法仅适用于推导2次耦合谐波的影响,解析多谐波变流器动态特性的精度不足。
3.2.2 谐波状态空间法/多谐波线性化法
Jian Sun教授进一步发展了谐波线性化方法并将其推广程矩阵形式,提出了基于多谐波线性化理论的建模方法,并应用该方法针对在静止坐标系下采用电流闭环控制的MMC并网系统进行端口阻抗建模[17]。采用该方法能够准确分析MMC内部由于电路结构引起多谐波耦合效应,同时思考控制系统中锁相环、环流抑制控制和电流闭环控制等环节的影响以及静止坐标系统下频率偏移效应的影响。
谐波状态空间理论(Harmonic State Space, HSS)是针对多谐波耦合系统建模的有效方法。HSS理论最早应用于直升机叶片动态特性的分析中,实现了高精度的理论建模取得了良好的效果,随后,该理论被引入到电气工程领域,用于对机车动力系统建模。本质上HSS建模理论与动态向量法没有区别,不过HSS理论是将时域的状态变量分解成傅里叶级数的指数形式,即分解出一个状态变量所有频率分量的幅值和相位。
文献[18]引入了基于谐波状态空间(Harmonic state space,HSS)理论的建模方法,通过把MMC线性周期时变(Linear time periodic,LTP)模型中的原始变量表明成多频率分量叠加的形式,基于谐波平衡原理,实现时变系数方程到时不变系数状态方程的转换,进而利用严格的线性系统理论分析系统稳定性。研究结果表明,基于HSS理论的建模方法能够精准反映MMC内部动态特有的多频率耦合特性,可扩展至任意次谐波。因此该方法是现阶段研究MMC等多谐波变流器系统小干扰稳定性的主要分析方法。HSS方法与多谐波线性化方法在数学上等价。
3.3 极坐标阻抗法
变流器并网系统中存在两个坐标系:基于锁相环的dq控制坐标系和全局坐标系,在极坐标系下建立极坐标导纳模型可获得由广义阻抗构成的复电路,并且导出广义阻抗判据用于分析系统的稳定性。极坐标阻抗法的具体建模过程详见文献[11-12]。
3.4 频域模态分析法
当系统的闭环频域网络矩阵给定时,可通过计算零极点分布来判定系统稳定性。基于系统网络矩阵,通过对矩阵进行模态分解,可以获取系统各个部分(例如节点)对于此最弱模式的能控度、能观度以及参与因子等信息,形成了与时域模态分析对等的频域模态分析法,该方法结合了频域阻抗法的建模优势以及时域状态空间法的分析优势,基于所得参与因子等信息可以确定主导模态、定位薄弱环节(振荡源)、揭示关键因素等。
当前,频域模态分析法主要应用于交流电网、仅思考变流器系统交流端口特性电网或交直流混联电网的振荡分析,暂未探讨在更复杂场景下的应用,振荡信息的揭示程度有限。并且该方法建模前提是获取各元件的阻抗模型,难以实现对存在“黑/灰箱”问题的新能源并网系统宽频振荡稳定性的在线评估。
3.5 阻抗灵敏度分析法
4 基于频域阻抗的小干扰稳定性分析算例
4.1 基于Nyquist判据的阻抗稳定性分析
由Nyquist判据可知,当且仅当回率矩阵L 的每个特征函数的奈奎斯特曲线在s 平面逆时针环绕(−1, j0)的圈数,与LCL 型并网变流器的输出导纳和电网阻抗在右半平面极点总数一样时,系统处于稳定状态。电网阻抗不存在右半平面极点,由于LCL 型并网变流器单独工作稳定,其输出导纳也不存在右半平面极点,因此,回率矩阵L的每个特征函数的Nyquist曲线均不环绕(−1, j0)点,系统是稳定的。理论分析中一般在PCC并网点处对电网进行戴维南等效变换,采用电压源与电网等效阻抗串联的形式对弱电网模型进行简化。跟网型变流器对外体现为电流源特性,用诺顿电路等效变换。小干扰稳定性状态主要取决于并网电流的稳定性,稳定性取决于系统阻抗比Tm的稳定性,Tm是否稳定取决于vg(s)/Zvsc(s)是否满足Nyquist稳定判据。因此,采用序阻抗模型可简化稳定性分析,具有明确物理意义。幅值交截点fint频率处的正负序相位裕度定义为:

需要注意的是,正负序系统均满足稳定判据时说明系统稳定;并网系统中的子系统独立运行时均稳定,系统不存在右半平面极点,进行稳定性分析时,无需思考右半平面极点的影响,只关注互联系统阻抗比;由于电网阻抗中的感性部分与变流器发生阻抗交互,为分析电网阻抗变化最恶劣的情况,在研究中可忽略电网阻抗的阻性部分,将电网阻抗用电感Lg表明。电网阻抗如下:

关于弱电网的定义。电网相对于变流器的强弱可以通过短路比(Short Circuit Ratio, SCR)来表征,SCR定义为:

一般情况下,当SCR值大于3时的电网被认为强电网,SCR值小于3时的电网被认为弱电网,SCR值小于0.5时的电网被认为是极弱电网。在本文所取并网变流器系统额定容量为50kW的情况下,当Lg=1.85mH时,相应的SCR为5,以此模拟强电网;当电网线路电感Lg=12mH时,对应的SCR为0.7661,模拟弱电网;当电网线路电感Lg=15mH时,对应的SCR为0.6129,模拟极弱电网。并网变流器主要参数如表3所示。
表3 并网变流器系统电气参数

图1至图2给出了SCR为5、强电网工况及SCR为0.7661时、弱电网工况下电网阻抗和并网变流器阻抗交互作用的bode图。从1可以看出,随着电网阻抗增大/SCR减小/电网强度减小,电网阻抗与并网变流器正序阻抗幅频特性出现74.0265Hz处的交截点,且交截点位于相频曲线的临界阻尼区域内,对应PM为-0.3793,这意味着此时并网系统存在临界负阻尼交截点,易导致系统并网不稳定。
图3给出了SCR为5、强电网工况及SCR为0.7661时、弱电网工况下电网阻抗和并网变流器阻抗比的Nyquist曲线。由图3可知,当电网阻抗增大、变换至SCR=0.7661的弱电网工况时,系统Nyquist曲线围绕(-1, j0)点,根据Nyquist判据可知,此时的系统不满足稳定运行条件,与图1的分析结果一致。



图4至图5给出了SCR为3、弱电网工况及SCR为0.6129时、极弱电网工况下电网阻抗和并网变流器阻抗交互作用的bode图。从4可以看出,随着电网阻抗增大/SCR减小/电网强度减小,电网阻抗与并网变流器正序阻抗幅频特性出现69.5319处的负阻尼交截点,对应PM为-1.7628°,同时系统存在52.6438Hz及47.9257Hz处的一组二倍频频率耦合振荡频率,对应的PM分别为-48.467°及-33.065°这表明此时并网系统不能够稳定运行。
图6给出了SCR为5、强电网工况及SCR为0.6129时、极弱电网工况下电网阻抗和并网变流器阻抗比的Nyquist曲线。由图6可知,当电网阻抗增大、变换至SCR=0.6129的极弱电网工况时,系统Nyquist曲线围绕(-1, j0)点,根据Nyquist判据可知,此时的系统不满足稳定运行条件,与图4的分析结果一致。



4.2 仿真算例准确复现小干扰振荡现象
本节基于Matlab/Simulink平台搭建了并网变流器交流并网系统仿真算例模型,采用时域仿真方法验证小干扰稳定性分析结论的正确性。仿真算例中,t=2s由强电网变换至弱电网,t=4s时,系统由弱电网变化至强电网,t=6s时,系统又变换回强电网,重点在于以弱电网工况为例分析临界阻尼状态及负阻尼状态下的小干扰振荡失稳现象,分析结果如图7至图13所示。从图7至图9的临界阻尼状态下仿真结果可看出,t=2s时,SCR由5变化至0.7661,模拟极弱电网工况系统小干扰振荡现象;t=4s时,SCR由0.7661变化至5,系统从临界阻尼状态恢复至稳定运行状态;t=6s时,SCR由5变化至0.7661,在长时间尺度下模拟极弱电网系统振荡现象。从图12的负阻尼状态下仿真结果可看出,t=2s时,SCR由5变化至0.6129,模拟负阻尼状态下系统小干扰振荡现象。
从图10、图11、图13中可以看出,并网电气量中出现了频率耦合现象,与本文4.1节中的稳定性理论分析结果一致。在临界阻尼状态下,由图10、图11的功率及并网点电流FFT的分析结果可知,功率出现的振荡频率为|100Hz-扰动频率|=25Hz,并网点电流中出现了振荡频率处75Hz的主导成分及其二倍频耦合频率处25Hz的分量,准确复现了图1中阻抗稳定性分析结论中的小干扰振荡现象。在负阻尼状态下,由图13的并网点电流FFT分析结果可知,并网点电流出现了振荡频率处70Hz的主导成分及其二倍频耦合频率处30Hz的分量,并网点电流中还存在55Hz与45Hz这一对互为耦合的振荡分量,准确复现了图4中阻抗稳定性分析结论中的小干扰振荡现象。
综上可知,频率耦合特性对并网变流器系统小干扰稳定性存在影响,思考频率耦合特性对并网变流器进行阻抗建模是得到准确系统稳定性分析结果的必要前提;本文所建立并网变流器阻抗模型及系统小干扰稳定性分析模型程序能准确复现小干扰振荡现象,并且依托频域阻抗稳定性分析法得到正确的稳定性评估结论。







4.3 阻抗灵敏度计算、主导参数筛选及阻抗交互作用分析
4.3.1 阻抗灵敏度计算及主导参数筛选
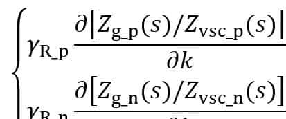
根据Nyquist稳定性判据Im[Zg/Zp]=0时Re[Zg/Zp]>-1或Im[Zg/Zn]=0时Re[Zg/Zn]>-1,结合数学上的偏导数思想,可得到正负序下阻抗灵敏度计算公式如下:

根据上式,参数灵敏度λx 的实部与虚部分别为频率电阻特性及频率电抗特性。阻抗灵敏度分析的主要思路为:频率电抗曲线过零点所对应的频率即为系统谐振频率,再观察频率电阻曲线,若谐振频率下的等效电阻为正,则由于正阻尼的存在系统是稳定的;若谐振频率下的等效电阻为负,则表明系统的振荡将会持续发散,系统不稳定。通过对控制参数的阻抗灵敏度分析,可判断参数对系统阻抗及系统稳定性的影响;其阻抗灵敏度实部/虚部的正负,对应着随该参数增大时系统电阻/电抗曲线的上移或下移,获取稳定性主导影响因素需结合阻抗灵敏度实部/虚部绝对值大小综合判定。
为了获取系统稳定性主导影响参数,通过阻抗灵敏度计算,实现各系统参数在各频段内对系统稳定性影响程度的定量化排序。图14、图15给出了系统正负序阻抗比及其对电流环比例系数kpi的宽频域灵敏度计算结果,图16、图17给出了系统正负序阻抗比及其对锁相环比例系数kppll的宽频域灵敏度计算结果,图18、图19给出了系统正负序阻抗比及其对电网阻抗Lg的宽频域灵敏度计算结果,图20、图21给出了不同参数下系统正负序阻抗灵敏度对比结果。
由图可知,针对并网系统的正负序阻抗稳定性而言,在1Hz~70Hz频段内,对系统稳定性影响较大的是电网阻抗Lg,其次为锁相环比例系数kppll,最后为电流环比例系数kpi。在70Hz~1000Hz频段内,对系统稳定性影响较大的是电网阻抗Lg,其次为电流环比例系数kpi,最后为锁相环比例系数kppll。针对变流器的正负序阻抗特性而言,在1Hz~70Hz频段内,对系统稳定性影响较大的是锁相环比例系数kppll,其次为电流环比例系数kpi。在70Hz~1000Hz频段内,对系统稳定性影响较大的是电流环比例系数kpi,其次为锁相环比例系数kppll。
需要说明的是,本文未给出变流器LCL滤波器参数的阻抗灵敏度分析结果,实际上变流器LCL滤波器参数主要影响变流器高频动态特性,进而对并网系统高频小干扰稳定性有影响,详见文献[20]。








4.3.2 阻抗交互作用分析
由4.3.1节可知,本文讨论的并网系统涉及多个可变参数,电流环、PLL、电网等均为系统稳定性主导环节,某个参数变化会影响另一个参数的稳定性分析结果。因此,本节以参数灵敏度为切入点,分析其他参数变化对某一参数灵敏度的影响,筛除灵敏度小的弱相关参数,分析多个强相关变量间的交互作用及其对系统稳定性的影响。图22、图23分别为Kppll变化情况下Kpi正序及负序阻抗灵敏度交互作用分析结果,图24、图25分别为Kpi变化情况下Kppll正序及负序阻抗灵敏度交互作用分析结果。
从图22至图24中可以看出,电流环控制、锁相环特性之间存在相互影响,即并网变流器两环节间存在交互作用,且该交互作用是影响系统稳定性的关键因素。弱电网或极弱电网工况下,锁相环和电流环控制变量的参与程度明显高于其他控制环节,占据主要参与地位,由此可知弱交流系统下的低相位裕度主要与锁相环和电流环控制之间的交互作用有关。Kppll和Kpi的交互作用对另一方的电阻、电抗灵敏度影响体目前参数灵敏度的大小,而对频域上的正负分布影响较小。即Kpi或Kppll的变化不会改变单参数分析中参数变化对系统宽频小干扰稳定性影响的结论。




4.4 主导参数变化时的稳定域定量分析
通过前文分析获取了并网系统的小干扰稳定性主导影响参数及振荡机理,本节通过绘制三维图的方式定量、直观地分析系统稳定域。以电网强度及kpi变化情况为例,计算并绘制系统稳定域,如图26所示。利用图26表达的信息,可分析逆变器并网系统的稳定性。从图26中可以观察出,该系统的各控制器参数值或电网强度值仅对应单个频率点,当电流环比例系数kpi在0-0.31范围内,相位裕度为负,系统不稳定;当电流环比例系数kpi在0.31以上的范围时,对应的相位裕度为正,系统稳定。
另外,稳定域分析结果表明,在不同短路比工况下,系统相位裕度随电流环控制参数的变化呈现不同的变化特征,随着交流系统短路比降低,相位裕度的单调变化特性被破坏,出现“非单调”变化特性。因此,当交流系统较强时,为了提升系统稳定性,可适当减小内环控制带宽;而当交流系统变弱时,在“非单调”特性下,减小带宽可能使系统稳定裕度降低,振荡风险增加,甚至引起系统失稳。通过绘制稳定域,可定量化获得稳定裕度的“非单调”变化特征,从而针对性指导电流环控制参数的设计。
同理,可获得其他参数列如锁相环控制参数kppll的参数稳定域。
基于频域阻抗法的小干扰稳定性分析的更多实现细节不便于全部展开,欢迎留言讨论,各位如果有需要获取本文章中涉及的代码和模型,可联系QQ:2293540475。希望对大家有所协助。

5 小干扰稳定性专栏出版声明
出版声明:今年将陆续出版小干扰稳定性专栏,给大家呈现一系列小干扰稳定性相关的讲解文章(包含但不限于跟网型/构网型变流器阻抗稳定性分析及稳定控制策略、新能源/变流器型并网系统控制交互作用特性及机理分析、大规模新能源并网系统等值阻抗建模及动态特性分析、基于谐波状态空间/多谐波线性化的MMC交直流侧序阻抗建模及稳定性分析、MMC高频简化等效阻抗建模及稳定性分析等)。期间有任何疑问或需要的可随时联系。
共同进步!感谢支持!敬请期待!
6 文章版权声明
版权声明:本文为博主原创文章,转载请附上原文出处链接和本声明。
参考文献
[1] 孙秋野,李大双,王睿,等.“双高”电力系统:一种新的稳定判据和稳定性分类探讨[J/OL].中国电机工程学报,1-22[2024-05-02].
[2] 谢小荣,贺静波,毛航银,等.“双高”电力系统稳定性的新问题及分类探讨[J].中国电机工程学报,2021,41(02):461-475.
[3] 张东辉,陈新.基于阻抗视角的新能源发电系统宽频振荡抑制技术综述[J/OL].中国电机工程学报,1-20[2024-05-02].
[4] 姜齐荣,王玉芝.电力电子设备高占比电力系统电磁振荡分析与抑制综述[J].中国电机工程学报,2020,40(22):7185-7201.
[5] 宗皓翔,张琛,蔡旭.电力电子主导的交直流混联电网振荡分析与评估[J].中国电机工程学报,2023,43(10):3844-3856.
[6] 伍文华.新能源发电接入弱电网的宽频带振荡机理及抑制方法研究[D].湖南大学,2019.
[7] 陈新,王赟程,龚春英,等.采用阻抗分析方法的并网逆变器稳定性研究综述[J].中国电机工程学报,2018,38(07):2082-2094+2223.
[8]吴滨源,李建文,李永刚,等.并网逆变器dq阻抗灰箱辨识方法与应用[J].中国电机工程学报,2022,42(04):1534-1546.
[9] 王伟胜,张冲,何国庆,等.大规模风电场并网系统次同步振荡研究综述[J].电网技术,2017,41(04):1050-1060.
[10] 杨诗琦,刘开培,秦亮,等.MMC-HVDC高频振荡问题研究进展[J].高电压技术,2021,47(10):3485-3496.
[11] 杨超然, 辛焕海, 宫泽旭, 等. 变流器并网系统复电路分析与广义阻抗判据适用性探讨[J]. 中国电机工程学报, 2020, 40(15): 4744–4758.
[12] 宫泽旭,艾力西尔·亚尔买买提,辛焕海,等.新能源电力系统并网设备小扰动稳定分析(一):机理模型与稳定判据适用性[J].中国电机工程学报,2022,42(12):4405-4419.
[13] 徐政.基于s域节点导纳矩阵的谐振稳定性分析方法[J].电力自动化设备,2023,43(10):1-8.
[14] 李杨,帅智康,方俊彬,等.灵敏度在变换器系统阻抗稳定性分析中的应用[J].中国电机工程学报,2021,41(10):3480-3491+3673.
[15] 王一珺,杜文娟,陈晨,等.基于复转矩系数法研究并网双馈风电场引发电力系统次同步振荡问题综述[J].发电技术,2018,39(3):195-203.
[16] 袁小明,程时杰,胡家兵.电力电子化电力系统多尺度电压功角动态稳定问题[J].中国电机工程学报,2016,36(19):5145-5154.
[17] Jian Sun,Hanchao Liu. Sequence impedance modeling of modular multilevel converters[J]. IEEE Journal of Emerging and Selected Topics in Power Electronics,2017,5(03):1427-1443.
[18] Jin Lyu,Xin Zhang,Xu Cai,et al. Harmonic state-space based small-signal impedance modeling of a modular multilevel converter with consideration of internal harmonic dynamics[J]. IEEE Transactions on Power Electronics,2019,34(03):2134-2148.
[19] 朱蜀.思考谐波交互的MMC模型及其在小信号稳定性分析中的应用[D].武汉大学,2021.
[20] 杨苓,陈燕东,周乐明,等.弱电网下锁相环对三相LCL 型并网逆变器小扰动建模影响及稳定性分析[J].中国电机工程学报,2018,38(13):3792-3804.



