电容滤波单相不可控整流电路

基本工作过程:
1. 在u2 正半周过零点至ωt=0期间,因u2 <ud,故二极管均不导通,此阶段电容C向R放电,提供负载所需电流,同时ud 下降。2.至ωt=0之后,u2 将要超过ud ,使得VD1 和VD4 开通,ud =u2 ,交流电源向电容充电,同时向负载R供电。3.电容被充电到ωt=θ时,ud =u2 ,VD1 和VD4 关断。
电容开始以时间常数RC按指数函数放电。4.当ωt=π,即放电经过π-θ角时,ud 降至开始充电时的初值,另一对二极管VD2 和VD3 导通,此后u2 又向C充电,与u2 正半周的情况一样。仿真结果如下:

δ指VD1 和VD4 导通的时刻与u2 过零点相距的角度,θ指VD1和VD4 的导通角。输出电压平均值:空载时,Ud=1.414U2重载时,Ud逐渐趋近于0.9U2,即趋近于接近电阻负载时的特性。在设计时根据负载的情况选择电容C值, 使RC≥(3-5)T/2, 此时输出电压为:Ud≈1.2U2输出电流平均值IR为: IR =Ud /R
Id =IR
二极管电流iD平均值为:ID =Id/2=IR /2二极管承受的电压为变压器二次侧电压最大值,即1.414U2。

感容滤波的单相桥式不可控整流电路,实际应用中为了抑制电流冲击,常在直流侧串入较小的电感。ud波形更平直,电流i2的上升段平缓了许多,这对于电路的工作是有利的。仿真波形如下:

demo3_4_2电容滤波的三相桥式不可控整流电路

基本原理:
当某一对二极管导通时,输出直流电压等于交流侧线电压中最大的一个, 该线电压既向电容供电,也向负载供电。当没有二极管导通时,由电容向负载放电,ud按指数规律下降。
电流id 断续和连续,列如在VD1 和VD2 同时导通之前VD6 和VD1 是关断的,交流侧向直流侧的充电电流id 是断续的。VD1 一直导通,交替时由VD6 导通换相至VD2 导通,id 是连续的。
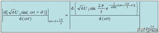
由”电压下降速度相等”的原则,可以确定临界条件,假设在ωt+δ=2π/3的时刻”速度相等”恰好发生,则有

可得wRC=1.732 ,这就是临界条件。wRC>1.732和wRC<1.732分别是电流id 断续和连续的条件。一般只有R是可变的,它的大小反映了负载的轻重,因此在轻载时直流侧获得的充电电流是断续的,重载时是连续的。轻载和重载仿真结果如下:


输出电压平均值Ud在(2.34U2~2.45U2)之间变化。输出电流平均值IR为:IR =Ud /R,电容电流iC平均值为零,因此Id =IR,二极管电流平均值为Id的1/3,即ID =Id /3=IR /3,二极管承受的电压为线电压的峰值为sqrt(6)U2。



