如何建立电商平台的标签系统?
第一,不要说题目范围太大,真正搭建过的必定懂的是啥意思。。。
其次,说一些详细的东西,欢迎大家多多回答,我也搜了社区的标签的文章,没有一个能够很好指导实战的东东,所以,期待该问题的优质回答,可以给所有需要设计标签系统的童鞋一个很好的指引。
再次,简要说明一下要做的事情。
1.电商系统的标签,可以支持前台分类的搜索(或者叫查询?)
2.电商系统的标签,可以支持某个关键词搜索出的产品的筛选
3.电商系统的标签,可以支持给商品、用户、供应商、产品、评价等多个维度大标签。
说一个,很low的方法,就是建立一个大的标签库,所有的标签均以分类的形式,在标签库建好,然后分别给各个维度的商品、用户等去打。但是这种方式不太好。如果面对千万级的产品,就sb了。。。所以,想请教一下有哪些更合理的方式。
至于标签的算法,也超级欢迎回答。印象pmcaff程序猿还是哪位童鞋回答过一次。。虽然没看懂~
看到好多人问那个算法的帖子。。。挖出来了~
http://www.pmcaff.com/entry?id=1000000000161411&from=search
这个题目的确 有点大,标签系统应该是推荐系统是一个核心模块,在数据挖掘领域还有一个别称:元数据
如果从整个推荐系统上来看标签系统或许更容易理解
一个电子商务网站推荐机制的好坏,对其用户的联合销售以及转化率的提高有着极其重大的作用,对比线下零售来说,推荐系统就相当于实体店里的“导购员”,对于零售店中,“导购员”起到提高顾客的购买愿意、购买金额。同样的的,一个好的推荐系统, 对于电子商务网站来说:
1、提高搜索准确率,许多个性化的搜索结果;更好的向顾客展示商品,提高转换率。
2、提高推荐成功率发现顾客的潜在需求,提高客单价
一、标签系统是链接客户与商品的关联因子,标签系统是推荐系统前提条件,只有了标签模块才能向客户个性化展示商品信息,才能提高客户购物体验,提高销售额的目的。
目前主流标签有以下二个维度
1、一般都是基于物品自身类似性标签
商品相关标签,一般与商品本身的商品类目,商品属性及特征有关,在商品上架时异步向发送推荐系统生成标签任务,这时推荐系统会建立与产品相关的M*N的一个动态矩阵。
2、基于客户浏览、喜爱、购买等数据的标签
客户标签,是根据客户的浏览特征、搜索关键词、购买商品记录来实现的用户画像,每次客户行为都能为精准描述客户提供数据支持。假设我一个月买一次杜蕾斯,后来应该推荐时不应该是每天推荐,而是在购买第25天开始推荐。
二、关联推荐算法
协同过滤 —— Collaborative Filtering
协同过滤简单来说就是根据目标用户的行为特征,为他发现一个兴趣相投、拥有共同经验的群体,然后根据群体的喜好来为目标用户过滤可能感兴趣的内容。
协同过滤推荐 —— Collaborative Filtering Recommend
协同过滤推荐是基于一组喜好一样的用户进行推荐。它是基于这样的一种假设:为一用户找到他真正感兴趣的内容的最好方法是第一找到与此用户有类似喜好的其他用户,然后将他们所喜好的内容推荐给用户。这与现实生活中的“口碑传播(word-of-mouth)”颇为类似。
协同过滤推荐分为三类:
- 基于用户的推荐(User-based Recommendation)
- 基于项目的推荐(Item-based Recommendation)
- 基于模型的推荐(Model-based Recommendation)
基于用户的协同过滤推荐 —— User CF
原理:基于用户对物品的喜好找到类似邻居用户,然后将邻居用户喜爱的物品推荐给目标用户

上图示意出User CF的基本原理,假设用户A喜爱物品A和物品C,用户B喜爱物品B,用户C喜爱物品A、物品C和物品D;从这些用户的历史喜好信息中,我们可以发现用户A和用户C的口味和偏好是比较类似的,同时用户C还喜爱物品D,那么我们可以推断用户A可能也喜爱物品D,因此可以将物品D推荐给用户A。
实现:将一个用户对所有物品的偏好作为一个向量(Vector)来计算用户之间的类似度,找到K-邻居后,根据邻居的类似度权重以及他们对物品的喜好,为目标用户生成一个排序的物品列表作为推荐,列表里面都是目标用户为涉及的物品。
基于物品的协同过滤推荐 —— Item CF
原理:基于用户对物品的喜好找到类似的物品,然后根据用户的历史喜好,推荐类似的物品给目标用户。与User CF类似,只是关注的视角变成了Item。

假设用户A喜爱物品A和物品C,用户B喜爱物品A、物品B和物品C,用户C喜爱物品A,从这些用户的历史喜好可以分析出物品A和物品C是比较类似的,喜爱物品A的人都喜爱物品C,基于这个数据可以推断用户C 很有可能也喜爱物品C,所以系统会将物品C推荐给用户C。
实现:将所有用户对某一个物品的喜好作为一个向量来计算物品之间的类似度,得到物品的类似物品后,根据用户历史的喜好预测目标用户还没有涉及的物品,计算得到一个排序的物品列表作为推荐。
类似度的计算 —— Similarity Metrics Computing
关于类似度的计算,现有的几种基本方法都是基于向量(Vector)的,实则也就是计算两个向量的距离,距离越近类似度越大。在推荐的场景中,在用户 – 物品偏好的二维矩阵中,我们可以将一个用户对所有物品的偏好作为一个向量来计算用户之间的类似度,或者将所有用户对某个物品的偏好作为一个向量来计算物品之间的类似度。下面我们详细介绍几种常用的类似度计算方法:
- 欧几里德距离(Euclidean Distance)
最初用于计算欧几里德空间中两个点的距离,假设 x,y 是 n 维空间的两个点,它们之间的欧几里德距离是:
可以看出,当 n=2 时,欧几里德距离就是平面上两个点的距离。
当用欧几里德距离表明类似度,一般采用以下公式进行转换:距离越小,类似度越大
- 皮尔森相关系数(Pearson Correlation Coefficient)
皮尔森相关系数一般用于计算两个定距变量间联系的紧密程度,它的取值在 [-1,+1] 之间。
- Cosine 类似度(Cosine Similarity)
Cosine 类似度被广泛应用于计算文档数据的类似度:
类似邻居的计算
邻居就是上文说到的“兴趣相投、拥有共同经验的群体”,在协同过滤中,邻居的计算对于推荐数据的生成是至关重大的,常用的划分邻居的方法有两类:
- 固定数量的邻居:K-neighborhoods 或者 Fix-size neighborhoods
用“最近”的K个用户或物品最为邻居。 如下图中的 A,假设要计算点 1 的 5- 邻居,那么根据点之间的距离,我们取最近的 5 个点,分别是点 2,点 3,点 4,点 7 和点 5。但很明显我们可以看出,这种方法对于孤立点的计算效果不好,由于要取固定个数的邻居,当它附近没有足够多比较类似的点,就被迫取一些不太类似的点作为邻居,这样就影响了邻居类似的程度,列如图 1 中,点 1 和点 5 实则并不是很类似。
- 基于类似度门槛的邻居:Threshold-based neighborhoods
与计算固定数量的邻居的原则不同,基于类似度门槛的邻居计算是对邻居的远近进行最大值的限制,落在以当前点为中心,距离为 K 的区域中的所有点都作为当前点的邻居,这种方法计算得到的邻居个数不确定,但类似度不会出现较大的误差。如下图中的 B,从点 1 出发,计算类似度在 K 内的邻居,得到点 2,点 3,点 4 和点 7,这种方法计算出的邻居的类似度程度比前一种优,尤其是对孤立点的处理。

Threshold-based neighborhoods要表现的就是“宁缺勿滥”,在数据稀疏的情况下效果是超级明显的。
User CF 和 Item CF 都依赖于类似度的计算,由于只有通过衡量用户之间或物品之间的类似度,才能找到用户的“邻居”,才能完成推荐。上文简单的介绍了类似性的计算,但不完全,下面就对常用的类似度计算方法进行详细的介绍:
1. 基于皮尔森相关性的类似度 —— Pearson correlation-based similarity
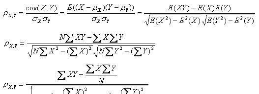
皮尔森相关系数反应了两个变量之间的线性相关程度,它的取值在[-1, 1]之间。当两个变量的线性关系增强时,相关系数趋于1或-1;当一个变量增大,另一个变量也增大时,表明它们之间是正相关的,相关系数大于0;如果一个变量增大,另一个变量却减小,表明它们之间是负相关的,相关系数小于0;如果相关系数等于0,表明它们之间不存在线性相关关系。
用数学公式表明,皮尔森相关系数等于两个变量的协方差除于两个变量的标准差。

协方差(Covariance):在概率论和统计学中用于衡量两个变量的总体误差。如果两个变量的变化趋于一致,也就是说如果其中一个大于自身的期望值,另一个也大于自身的期望值,那么两个变量之间的协方差就是正值;如果两个变量的变化趋势相反,则协方差为负值。
其中u表明X的期望E(X), v表明Y的期望E(Y)
标准差(Standard Deviation):标准差是方差的平方根
方差(Variance):在概率论和统计学中,一个随机变量的方差表述的是它的离散程度,也就是该变量与期望值的距离
即方差等于误差的平方和的期望
基于皮尔森相关系数的类似度有两个缺点:
(1) 没有思考(take into account)用户间重叠的评分项数量对类似度的影响;
(2) 如果两个用户之间只有一个共同的评分项,类似度也不能被计算

上表中,行表明用户(1~5)对项目(101~103)的一些评分值。直观来看,User1和User5用3个共同的评分项,并且给出的评分走差也不大,按理他们之间的类似度应该比User1和User4之间的类似度要高,可是User1和User4有一个更高的类似度1。
同样的场景在现实生活中也常常发生,列如两个用户共同观看了200部电影,虽然不必定给出一样或完全相近的评分,他们之间的类似度也应该比另一位只观看了2部一样电影的类似度高吧!但实际并不如此,如果对这两部电影,两个用户给出的类似度一样或很相近,通过皮尔森相关性计算出的类似度会明显大于观看了一样的200部电影的用户之间的类似度。
2. 基于欧几里德距离的类似度 —— Euclidean Distance-based Similarity
欧几里德距离计算类似度是所有类似度计算里面最简单、最易理解的方法。它以经过人们一致评价的物品为坐标轴,然后将参与评价的人绘制到坐标系上,并计算他们彼此之间的直线距离。


图中用户A和用户B分别对项目X、Y进行了评分。用户A对项目X的评分为1.8,对项目Y的评分为4,表明到坐标系中为坐标点A(1.8, 4);同样用户B对项目X、Y的评分表明为坐标点B(4.5, 2.5),因此他们之间的欧几里德距离(直线距离)为:sqrt((B.x – A.x)^2 + (A.y – B.y)^2)
计算出来的欧几里德距离是一个大于0的数,为了使其更能体现用户之间的类似度,可以把它规约到(0, 1]之间,具体做法为:1 / (1 + d)。参见上表
只要至少有一个共同评分项,就能用欧几里德距离计算类似度;如果没有共同评分项,那么欧几里德距离也就失去了作用。实则照常理理解,如果没有共同评分项,那么意味着这两个用户或物品根本不类似。
3. 余弦类似度 —— Cosine Similarity
余弦类似度用向量空间中两个向量夹角的余弦值作为衡量两个个体间差异的大小。相比距离度量,余弦类似度更加注重两个向量在方向上的差异,而非距离或长度上。
与欧几里德距离类似,基于余弦类似度的计算方法也是把用户的喜好作为n-维坐标系中的一个点,通过连接这个点与坐标系的原点构成一条直线(向量),两个用户之间的类似度值就是两条直线(向量)间夹角的余弦值。由于连接代表用户评分的点与原点的直线都会相交于原点,夹角越小代表两个用户越类似,夹角越大代表两个用户的类似度越小。同时在三角系数中,角的余弦值是在[-1, 1]之间的,0度角的余弦值是1,180角的余弦值是-1。
借助三维坐标系来看下欧氏距离和余弦类似度的区别:

从图上可以看出距离度量衡量的是空间各点间的绝对距离,跟各个点所在的位置坐标(即个体特征维度的数值)直接相关;而余弦类似度衡量的是空间向量的夹角,更加的是体目前方向上的差异,而不是位置。如果保持A点的位置不变,B点朝原方向远离坐标轴原点,那么这个时候余弦类似度cosθ是保持不变的,由于夹角不变,而A、B两点的距离显然在发生改变,这就是欧氏距离和余弦类似度的不同之处。
根据欧氏距离和余弦类似度各自的计算方式和衡量特征,分别适用于不同的数据分析模型:欧氏距离能够体现个体数值特征的绝对差异,所以更多的用于需要从维度的数值大小中体现差异的分析,如使用用户行为指标分析用户价值的类似度或差异;而余弦类似度更多的是从方向上区分差异,而对绝对的数值不敏感,更多的用于使用用户对内容评分来区分用户兴趣的类似度和差异,同时修正了用户间可能存在的度量标准不统一的问题(由于余弦类似度对绝对数值不敏感)。
4. 调整余弦类似度 —— Adjusted Cosine Similarity
在余弦类似度的介绍中说到:余弦类似度更多的是从方向上区分差异,而对绝对的数值不敏感。因此没法衡量每个维数值的差异,会导致这样一个情况:列如用户对内容评分,5分制,X和Y两个用户对两个内容的评分分别为(1,2)和(4,5),使用余弦类似度得出的结果是0.98,两者极为类似,但从评分上看X似乎不喜爱这2个内容,而Y比较喜爱,余弦类似度对数值的不敏感导致了结果的误差,需要修正这种不合理性,就出现了调整余弦类似度,即所有维度上的数值都减去一个均值,列如X和Y的评分均值都是3,那么调整后为(-2,-1)和(1,2),再用余弦类似度计算,得到-0.8,类似度为负值并且差异不小,但显然更加符合现实。
5. 斯皮尔曼相关 —— Spearman Correlation
斯皮尔曼相关性可以理解为是排列后(Rank)用户喜好值之间的Pearson相关度。《Mahout in Action》中有这样的解释:假设对于每个用户,我们找到他最不喜爱的物品,重写他的评分值为“1”;然后找到下一个最不喜爱的物品,重写评分值为“2”,依此类推。然后我们对这些转换后的值求Pearson相关系数,这就是Spearman相关系数。
斯皮尔曼相关度的计算舍弃了一些重大信息,即真实的评分值。但它保留了用户喜好值的本质特性——排序(ordering),它是建立在排序(或等级,Rank)的基础上计算的。
回顾前面表中User1~5对Item101~103的喜好(评分)值,通过斯皮尔曼相关系数计算出的类似度为:

我们发现,计算出来的类似度值要么是1,要么是-1,由于这依赖于用户的喜好值和User1的喜好值是否趋于“一致变化”还是呈“相反趋势变化”。
由于斯皮尔曼相关性的计算需要花时间计算并存储喜好值的一个排序(Ranks),具体时间取决于数据的数量级大小。正由于这样,斯皮尔曼相关系数一般用于学术研究或者是小规模的计算。
6. 基于谷本系数的类似性度量 —— Tanimoto Coefficient-based Similarity
Tanimoto Coefficient和前面的5中相关度计算方式有很大的不同,它不关心用户对物品的具体评分值是多少,它在关心用户与物品之间是否存在关联关系。还记得上一篇文章《Mahout学习笔记——数据承载》里面提到的布尔喜好值(Boolean Preference)吧!Tanimoto Coefficient依赖于用户和物品之间的这种Boolean关系作为输入。
更准确的说法为:Tanimoto Coefficient主要用于计算符号度量或布尔值度量的个体间的类似度,由于个体的特征属性都是由符号度量或者布尔值标识,因此无法衡量差异具体值的大小,只能获得“是否一样”这个结果,所以Tanimoto Coefficient只关心个体间共同具有的特征是否一致这个问题。Tanimoto Coefficient又被叫做Jaccard Coefficient,其值等于两个用户共同关联(不管喜爱还是不喜爱)的物品数量除于两个用户分别关联的所有物品数量。
也就是关联的交集除于关联的并集,用公式表明为:
其值介于[0, 1]之间,如果两个用户关联的物品完全一样,交集等于并集,值为1;如果没有任何关联,交集为空,值为0。
注:本块中说到的关联指用户对物品有评分值
推荐中的协同过滤算法简单说明下(来自
http://my.oschina.net/BreathL/blog/62519):
第一,通过分析用户的偏好行为,来挖掘出里面物品与物品、或人与人之间的关联。
其次,通过对这些关联的关系做必定的运算,得出人与物品间喜爱程度的猜测,即推荐值。
最后,将推荐值高的物品推送给特定的人,以完成一次推荐。
这里只是笼统的介绍下,方便下边的理解,IBM的一篇博客对其原理讲解得浅显易懂,同时也很详细《深入推荐引擎相关算法 – 协同过滤》,我这里就不细讲了。
协同过滤算法大致可分为两类,基于物品的与基于用户的;区分很简单,根据上面的逻辑,若你挖掘的关系是物品与物品间的,就是基于物品的协同过滤算法,若你挖掘的关系是用户与用户间的,就是基于用户的协同过滤算法;由于它们实现是有所不同,所以我分开整理,先来看看基于物品的协同过滤实现,我自己画了一幅图:

我通过数字的顺序,来标示数据变化的方向(由小到大);下面分析下每一个步骤的功能以及实现。
第一,说明下两个大的数据源,用户偏好数据:UserID、ItemID、Preference:表明一个对一个物品的喜好程度;关系数据:ItemIDA(UserIDA)、ItemIDB(UserIDB)、Similarity:表明两个人或物品间的类似程度;接着一个用户来了,我们需要为其推荐,得拿到他的身份标示,一般是UserID,于是:
①. 查找这个用户喜爱过的物品(即偏好的产品,并查出偏好值后面会用),以及还没有喜爱过的商品,前者是推荐运算的根据,后者作为一个产生推荐的一个集合;如② 画的那样。
②. 这里是一个可扩展的地方(我自己理解);由于这两部分的数据的作用超级明显,修改这两个集合对后面产生的推荐结果可产生超级直观的影响,列如清洗过滤,或根据用户属性缩小集合;不仅使后面推荐效果更优,运算性能也可以大幅度提高。
③. 查找这两个集合之间的关系,这是一对多的关系:一个没有偏好过的物品与该用户所有偏好过的物品间的关系,有一个值来衡量这个关系叫类似度Similarity;这个关系怎么来的,看蓝色箭头的指向。步骤⑥
④. 得到这个一对多的关系后,就可以计算这个物品对于这个用户的推荐值了,图中similarity_i-x表明Item_i 与 Item_x 之间的类似度,Item_x是该用户偏好过得,该用户对其偏好值记为 value_x ,相乘;Item_i 与 该用户偏好过的所有物品以此做以上运算后,得到的值取平均值 便是 Item_i的推荐值了。注:有可能Item_i 不是与所有 该用户偏好过的物品都都存在类似性,不存在的,不计算即可;另外这里方便理解介绍的都是最简单的实现;你也可以考一些复杂的数学元素,列如方差来判断离散性等。
⑤. 这步就简单多了,刚才对该用户没有偏好过的集合中的所有Item都计算了推荐值,这里就会得到一个list,按推荐值由大到小排序,返回前面的一个子集即可。
⑥。 前面已经提到,关系数据时怎么来的,也是根据用户的偏好数据;你把其看成一个矩阵,横着看过来,参考两个Item间的共同用户,以及共同用户的偏好的值的接近度;这里的可选择的类似度算法许多,不一一介绍了,前面提到的IBM博客也详细讲解了。
基于物品的协同过滤算法分析完了,下面是基于用户的协同过滤算法,还是自己画了一幅图:

①. 同样也是查询,只是查询的对象不一样了,查询的是与该用户类似的用户,所以一来直接查了关系数据源。以及类似用户与该用户的类似度。
②. 与刚才类似,也是对数据集的一个优化,不过作用可能没那么大。(个人感觉)
③. 查询关系数据源,得到类似用户即邻居偏好过的物品;如步骤④;图中由于空间小,没有把所有邻居的偏好关系都列出来,用……表明。其次还要得到该用户偏好过的物品集合。
④. 被推荐的Item集合是由该用户的所有邻居的偏好过的物品的并集,同时再去掉该用户自己偏好过的物品。作用就是得到你的类似用户喜爱的物品,而你还没喜爱过的。
⑤. 集合优化同基于物品的协同过滤算法的步骤②。
⑥. 也是对应类似的,依次计算被推荐集合中Item_i 的推荐值,计算的方式略有不同,Value_1_i表明邻居1对,Item_i的偏好值,乘以该用户与邻居1的类似度 Similarity1;若某个邻居对Item_i偏好过,就重复上述运算,然后取平均值;得到Item_i的推荐值。
⑦、⑧. 与上一个算法的最后两部完全类似,只是步骤 ⑧你竖着看,判断两个用户类似的法子和判断两个物品类似的法子一样。
出于对PMCAFF用户的尊重,任何在PMCAFF产品经理社区发布的内容,在未经允许的情况下,不得在任何平台被直接或间接发布使用或被用于其他任何商业目的。如有违反上述声明者本网站将追究其相关法律责任。
微信公众号:pmcaffcom
投稿邮箱:tougao@pmcaff.com
Greated by PMCAFF产品经理社区 – www.pmcaff.com




收藏了,感谢分享