
根据斯特藩-玻尔兹曼定律,常规材料的热红外辐射功率Prad正比于温度T的四次方。基于此关系,红外相机可以通过Prad的测量来表征物体表面的温度分布。常温的红外探测技术在红外夜视,安全监控,电路检测,医学诊断,结构缺陷筛查,以及科学研究方面有广泛应用。等效噪音的温度差(Noise Equivalent Differential Temperature, NEDT)是决定红外相机对温度的敏感度和成像质量的关键性能参数。不过,以往的改善NEDT的工作主要局限于对红外信号接收和传感的改善,而忽视了从Prad与T的关系这一角度寻找突破的可能。受此局限性影响,常温红外探测器的NEDT在达到20-40 mK时遇到了瓶颈,过去的20年中一直没有明显的进展。
在此背景下,美国伯克利加州大学的Junqiao Wu(吴军桥)课题组另辟蹊径,借助金属-绝缘体相变材料,光学谐振结构和薄膜转移工艺,开发了一种红外探测敏感度增强贴膜(Thermal Imaging Sensitizer, TIS)。TIS技术突破了Prad正比于T4这一限制,将红外探测的敏感度在现有基础上提高了15倍以上,首次实现了毫开尔文级别的常温红外探测,对成像质量的提升,应用的拓展,以及新表征技术的开发有重大意义。该研究成果以“Millikelvin-resolved Ambient Thermography”为题近日发表于国际著名学术期刊Science Advances。

图1. 基于金属-绝缘体相变的TIS技术的结构,原理与应用示意图
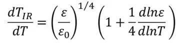
如图1所示,TIS由钨掺杂氧化钒(WxV1-xO2),BaF2,Ag结构组成。当WxV1-xO2处于绝缘体态时,其对红外辐射基本透明,系统类似于一个简单的金属镜面结构,具有低红外辐射率ε ;而当温度上升时,转变成金属态的WxV1-xO2对红外辐射有较高的吸收,结合1/4波长谐振腔结构,系统的ε 会展现出突然的增加。对于辐射率随温度变化的材料,红外探测温度TIR与实际温度T 的关系可以表明为:

由于TIS的ε 在相变温度附近对T 超级敏感,dTIR/dT可以远远突破传统材料的限制(dTIR/dT~ 1),进而大幅度改善NEDT。在此项工作中,高达15以上的dTIR/dT可以实现毫开尔文级别的红外探测,对多方面的应用都有重大意义。

图2. TIS在物理结构,光学性质以及敏感度增强方面的表征
制成的TIS薄膜具有良好的柔性,可以广泛贴附于各种表面;而相变温度可以通过W掺杂的浓度灵活调节,以适用于不同的应用场景(如图2所示)。高dTIR/dT对NEDT的提升效果可以由图2的类似“瑞利判据”实验展现。对于用一般红外成像无法分辨出的两个临近热源,在TIS的辅助下NEDT由45mK缩小为3mK,进而使得红外成像可以辨识出精细的温度分布,清楚地区分出两个热源。
电子器件的热成像分析将极大地受益于温度敏感度的增强。通过探测表面的微小焦耳发热,毫开尔文级别的红外成像可以快速,无损伤而且整体地分析电路的工作状态。如图3A所示,工作在不同处理频率的CPU会产生有微小不同的发热量,而由TIS增强的红外探测可以将其清晰地区分开,进而判断CPU的实时状况。进一步的,通过校准电路板线路中的电流大小和发热量,由TIS增强的红外成像可以定量且快速地探测电路中的电流大小和分布(图3B和3C),极大地方便对电学器件和系统的监控以及分析。

图3. TIS的应用展示——电路工作状态分析
除此之外,TIS技术将会给红外医学成像带来突破性的发展。红外成像技术已广泛应用于生物医学领域,尤其是通过对病变处温度变化的表征来筛查早期的肿瘤,如皮肤癌和乳腺癌等。在图4的展示实验中,课题组用不同的成像方法跟踪观察植入小鼠表皮的肿瘤细胞。在肿瘤细胞植入后第五天,对于光学成像和传统红外成像都无法观察到的早期肿瘤点,由TIS增强的红外成像已可以清晰地探测到。更灵敏的特征热信号探测将对肿瘤早期筛查以及其它医学诊断和外科手术辅助应用带来显著的益处。

图4. TIS的应用展示——早期肿瘤筛查
由于微小的温度浮动广泛存在于各种物体的表面,且往往意味着超级规的热相关特征,TIS增强的红外成像技术将预期影响许多其它领域,例如在更大的尺度下对建筑和桥梁中结构缺陷的监测,以及在更小的尺度下借助红外显微镜对微生物和细胞活动的表征。
美国伯克利加州大学材料科学与工程学院教授Junqiao Wu(吴军桥)为本文的通讯作者,原伯克利加州大学博士后,现北京大学信息科学技术学院助理教授唐克超为本文第一作者,伯克利加州大学博士后董恺琛为共同一作。
https://advances.sciencemag.org/content/advances/6/50/eabd8688.full.pdf



