DCDC Buck电路输入电容和输出电容的计算:
1. 输入电容的选择和计算
输入输出电容是开关电路中很关键的参数。以BUCK电路为例,由于MOS管是按照频率开断,所以 BUCK电路的输入电流是不连续的,因此需要电容向buck电路提供交流电流,同时保持直流电压。
a. 电流参数计算
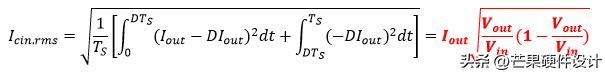
Buck电路中输入电容纹波电流的有效值计算公式推导过程如下:



由Vo=D*Vin和能量守恒得:

将(1-1)和(1-3)带入(1-2)得:

由有效值定义得:

由上述公式可知当Vout=0.5Vin 即占空比D=0.5时,输入电容纹波电流最大:

因此选择RMS额定电流大于最大负载电流一半的输入电容器即可。
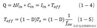
b.电压参数计算
同时,输入电容容值也会影响转换器的输入电压纹波。由于一个周期内,电容的充电电荷量和放电电荷量必然是一样的。为了简便计算,对充电过程(上管断开时,对输入电容进行充电)进行分析,由于此时充电电流为输入电流,为Iin。
根据电荷量计算公式可得:

将(1-3)和(1-5)带入(1-4)可得到电压纹波电压计算公式:

带入之前讨论的最恶劣情况Vout=0.5Vin后,得到:

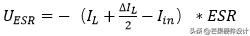
由于使用的电容都不可能为理想电容,必定会带来一些寄生参数。如果将ESR带入思考的话,分析如下

当上管断开时,ESR上面产生的压降时恒定的,为:

当上管导通时,ESR上产生的最大压降为:

则一个周期的ESR电压纹波电压为:

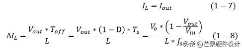
已知

将(1-7)和(1-8)带入(1-6)得到由ESR带来的输入电压纹波为:

对于输入电容的种类,一般提议选择X5R、X7R陶瓷介质的MLCC。这一类电容成本较低,且温度的变化对电容容值的变化影响小。
2. 输出电容的选择和计算
了解完输入电容的选择,再来看看选择Buck输出电容时的注意事项。输出电容器需要保持直流输出电压。提议使用陶瓷或者CAP(钽电容) 。
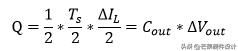
使用陶瓷电容时,开关频率处的阻抗由电容决定。输出电压纹波主要由电容引起。其输出电压纹波的计算公式推导如下:

容充放电的总电荷量可用电流乘以时间计算,即为上图中三角形的面积

将(1-8)代入上式,即

由波形图可知,输出电容上的总电流纹波为∆IL。此时,输出电压纹波的计算如下:

除了思考输出纹波外,选择容值较大的输出电容也可以获得更好的负载瞬态响应,但在设计应用中还应思考最大输出电容的限制条件。




mark
值得学习👍
收藏了,感谢分享
还是没明白怎么选电容
看