第1题:【 单选题】
有一袋巧克力棒被摔倒了地上,其中只剩三分之一是完整的,而其它的每一根都断成两段。在这袋内所有的巧克力棒(包括完整与断裂的)中,请问长度不小于原来整根巧克力棒一半的根数至少占所有的根数的几分之几( )。
A:2/5
B:3/5
C:2/3
D:1/2
【正确答案】: B
【试题解析】 :
考查数学概率知识

如果摔成2根一样长,那不少于原来整根一半的数量就更多了,所以最少的情况就是如上图所示,长的变成3总共是5,所以3/5,答案B
第2题:【 单选题】
班级圣诞游艺会,在一个桌子上,放着9颗巧克力球,甲、乙两人轮流取,规定每次可以取1个或者2个,以取走最后一颗糖果的人为胜者。试问:如果甲先取,谁有必胜的策略( )。
A:甲
B:已
C:不确定
【正确答案】: B
【试题解析】 :
考查最佳策略问题
规定每次可以取1个或者2个,也就是一轮最多可以拿走3个,那甲先拿,乙后拿,乙只要保证拿的数加前面甲拿的数等于3,乙是必胜的。因为总共有9个球;
所以凡是是3的倍数的,每次拿1或者2个的;后拿者有必胜的策略;如果不是3的倍数,先拿者有必胜的策略。所以答案B
第3题:【 单选题】
一家咨询公司建议,考勤管理可以使用下面的方法:只要工人都在承若上签字承若不迟到,公司就取消上下班打卡制度,如果有人迟到,那么所有员工的当月奖金均被扣除。公司采纳了建议,结果还是有员工迟到,但是员工小刘仍拿到了当月奖金。从这段文字可以推出( )。
A:小刘从未迟到过
B:其它员工没有拿到奖金
C:公司有人没在承若书上签字
D:迟到的人不是该公司的正式员工
【正确答案】: C
【试题解析】 :
考查积常见能源知识,
我们将本句话的条件转化成相应的流程图,这样我们能更方便的给小朋友们讲解:

最后是有人迟到了,但是小刘还是拿到奖金了,所以往前就是并不是所有人承诺书上都签字,继续维持了打卡上下班,所以答案C
第4题:【 单选题】
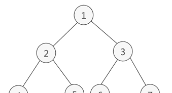
在深度为5的满二叉树中,叶子(终端)节点的数量是( ) 。
A:8
B:15
C:16
D:32
【正确答案】: C
【试题解析】 :
考查算法基础知识
小朋友们首先要了解一下什么是二叉树
二叉树:是指树中节点的度不大于2的有序树,它是一种最简单且最重要的树。由一个根节点和两棵互不相交的,分别称作根的左子树和右子树组成的非空树;左子树和右子树又同样都是二叉树
满二叉树:除最后一层无任何子节点外,每一层上的所有节点都有两个子节点的二叉树
下图是一个3层的满二叉树:

满二叉树的叶子数等于2的深度-1次方,所以本题应该是也就是,所以答案C
第5题:【 单选题】
在下列古诗文选段中,( )描述了自然界中物质循环的现象。
A:羌笛何须怨杨柳,春风不度玉门关
B:不知绿叶谁裁出,二月春风似剪刀
C:儿童疾走追黄蝶,飞入菜花无处寻
D:落红不是无情物,化作春泥更护花
【正确答案】: D
【试题解析】 :
考查古诗词蕴含的科学知识,
小朋友们如果可以的话,先了解这些古诗:
羌笛何须怨杨柳,春风不度玉门关 出自王之涣的《凉州词》
不知绿叶谁裁出,二月春风似剪刀 出自贺知章的《咏柳》
儿童疾走追黄蝶,飞入菜花无处寻 出自杨万里的《宿新市徐公店其二》
落红不是无情物,化作春泥更护花 出自龚自珍的《己亥杂诗》
落红原指掉落枝头的花,但是呢并不是没有感情的事物,即使花城春泥,也甘愿培育美丽的花朵成长,表明当时诗人虽然离开官场,依然愿意像春泥护花一样始终关注民众,心系国家。所以答案D
第6题:【 单选题】
最近媒体上频繁报道5G,你觉得下面有关5G的论述,哪个是错误的。
A:和之前的2G、3G、4G一样,5G也是模拟移动通讯网络
B:在5G移动网络技术方面,华为公司在世界范围内处于领先水平
C:和之前的2G、3G、4G相比,5G网络可以提供更快的网络传输速度
D:在中国,多个移动运营商已经宣布5G网络商业运营
【正确答案】: A
【试题解析】 :
考查科技时政基础知识,
1G:也就是第一代移动通信计算,采用的是模拟信号
2G:第二代采用的是GSM标准,传输速度150K,数字信号
3G:第三代采用的是UMTS/LTE标准,速度3Mbps,数字信号
4G:第四代采用的是LTE-A,WiMax),速度100Mbps,数字信号
5G:第五代移动通信技术,速度达到1.4Gbps,数字信号
现在大部分人用的都是4G,5G开始商业运营,但是用的人还不是最多,华为在5G方面的发展是世界顶尖的,处于领先水平,所以答案A
第7题:【 单选题】
“石头剪刀布”是个简单的游戏,甲乙双方每次做“石头剪刀布”三种手势中的一种,规定石头胜剪刀,剪刀胜布,布胜石头,同种手势不分胜负,请问一次比赛时两人做同种手势(即不分胜负)的概率是多少( )
A:33%
B:50%
C:66.7%
D:75%
【正确答案】: A
【试题解析】 :
考查数学概率基础知识
两个人,每个人可以的选择有3种,所以两个人总共的排列就有3*3=9种组合;
那相同的组合会有3种(同时出石头、出剪刀、出布),所以做同种手势的概率为:3/9=33%,所以答案A
第8题:【 单选题】
以下四种说法中,不正确的说法的个数是( )。
一、正数的平方不一定大于它本身
二、正数的立方不一定大于大本身
三、负数的平方不一定大于它本身
四、负数的立方不一定大于它本身
A:0
B:1
C:2
D:3
【正确答案】: B
【试题解析】 :
考查数学推理知识
第一句、正数的平方不一定大于它本身,1的平方等于1,所以正确的
第二句、正数的立方不一定大于它本身,1的立方等于1,所以正确的
第三句、负数的平方不一定大于它本身,负数的平方是正数,正数是大于负数的,所以这句错误
第四句、负数的立方不一定大于它本身,-1的立方等于-1,所以正确
所以答案B
第9题:【 单选题】
双盲测试是科学研究方法的一种。关于双盲测试,以下说法不正确的是( )
A:双盲测试中,接受实验的对象被随机编入实验组或对照组
B:研究人员知道哪些接受实验的对象属于实验组,哪些属于对照组,而接受实验的对象并不知道
C:双盲测试通常在接受实验的对象为人类的时候使用
D:双盲测试经常被用语药物测试
【正确答案】: B
【试题解析】 :
考查科学研究方法基础知识
小朋友们要了解什么是双盲测试?
双盲测试:是指在试验过程中,测验者与被测验者都不知道被测者所属的组别(实验组或对照组),分析者在分析资料时,通常也不知道正在分析的资料属于哪一组。该词通常用于医学领域,用于研究新药的效果。同时,该词也常用于市场调研、系统评估等领域
综上分析可以得知答案B
第10题:【 单选题】
据说这是一道Google公司的面试题目,可是在小学三年级的数学题中也有类似问题,一个袋子里装了100个苹果,100个香蕉,100个桔子,100个梨。如果每分钟从里面随机抽取一个水果,那么最多过多少分钟就能肯定至少拿到一打(12个)相同种类的水果。
A:40
B:12
C:24
D:45
【正确答案】: D
【试题解析】 :
考查数学概率知识
小朋友们可以想下,我们用了最坏的情况,就是正好每种水果都拿了11个,也就是用了44分钟,这时候再取1个水果,是不是就一定会有一种水果拿了12个(一打),所以用45分钟就能保证一定拿到一打相同种类的水果,所以答案D
第11题:【 单选题】
The average age of the 40 members of a computer science camp is 17 years.There are 20 girls,15 boys, and 5 adults. If the average age of the girls is 15 and the average age of the boys is 16, what is the average age of the adults?( )。
A:26
B:27
C:28
D:29
【正确答案】: C
【试题解析】 :
考查英文数学基础知识
在计算机的营地里有40个人,平均年龄是17岁,其中20个女孩平均15岁,15个男孩平均年龄是16岁;从上面分析可以列出对应的数学算式:
总的年龄:4017=680
女生总的年龄:2015=300
男生总的年龄:1516=240
成年总的年龄:5?=680-300-240=140
可以得出成年人平均年龄=140/5=28,所以答案C
第12题:【 单选题】
据说这是有人写信问牛顿的问题“下面哪件事情发生的可能性最大”,你认为呢( )。
A:掷6个骰子,至少的到1个6
B:掷12个骰子,至少的到2个6
C:掷18个骰子,至少的到3个6
D:以上各项发生的可能性是一样的
【正确答案】: A
【试题解析】 :
考查数学概率基础知识
1、郑一个骰子是6的概率是1/6,不是6的概率应该是5/6,那郑6个骰子都不是6的概率就是5/6的6次方即:(5/6)**6
2、那A选项掷6个至少的到1个6可以利用反面,都不是6,然后用1减去就可以的到,即:1-(5/6)**6=0.6651
3、B选项掷12个至少的到2个6,同样可以利用反面,都不是和的到1个6即:1-(5/6)**12-(5/6)*11(1/6)*12=0.6187
4、C选项掷18个至少的到3个6,依然利用反面,都不是、有1个6和2个6,即:1-5/6)**18-(5/6)*17(1/6)18-(5/6)*16(1/6)(18*17/2)=0.5973
这题对小朋友来说难度还是有点大的,所以答案A
第13题:【 单选题】
下列4种不同进制表示的数中,数值最小的一个是( )。
A:八进制数52
B:十进制数44
C:十六进制数2F
D:二进制数101000
【正确答案】: C
【试题解析】 :
C
考点分析:考查进制转化知识
八进制52转成十进制:
十六进制2F转成十进制:
二进制数101000转成十进制:
所以答案C
第14题:【 单选题】
据说右图是一道高考题目,不过在初中难度的编程课上也有类似题目。执行程序框图,如果输入的a=-1,那么输出的s值为( )。

A:2
B:3
C:-3
D:4
【正确答案】: B
【试题解析】 :
考查流程图相关基础知识
小朋友们遇到这样的题目,就可以一步一步具体进行分析,如下:
开始前:s=0,k=1,a=-1
第1次,1
第2次,2
第3次,3
第4次,4
第5次,5
第6次,6
第7次,7
第15题:【 单选题】
要分配ABCDE五人中的若干人去执行任务,分配时必须同时满足以下条件:
若A去,则B去
BC两人中只去1人
DE两人中至少去1人
CD两人都去或都不去
若E去,则AD都去
请问:应该让哪些人去
A:让BCD去
B:让CDE去
C:让CD去
D:无法确定谁去
【正确答案】: C
【试题解析】 :
考点分析:考查逻辑推理知识
碰到这种题目可以通过将选项带入条件验证的方法:
选项A:让BCD去,条件2.BC两人只去1人,不满足,所以不符合
选项B:让CDE去,条件5.若E去,AD都去,不满足,所以不符合
选项C:让CD去,涉及到的条件2、条件3、条件4都满足;所以符合
所以综上分析得出答案C。
第16题:【 单选题】
据说清代数学家梅殷成在《增删算法统宗》一书中记载了这么一道题目“百兔纵横走入营,几多男女都来争,一人一个难拿尽,四只三人使得停,来往聚,闹纵横,各人捉得往家形。英贤如果能明算,多少人家甚法评”这道题目的答案是多少?
A:75个人
B:75只兔子
C:100个人
D:100只兔子
【正确答案】: A
【试题解析】 :
考查数学推理基础知识
小朋友做这个题目的时候需要先读懂古文:有100只兔子跑进村子里了,男男女女都来捉兔子,如果一人捉一只还有剩,如果3个人捉4只兔子刚刚好,大家都开心的捉着兔子,只见大家捉着兔子往家走,聪明的人快来算一下,总共需要有多少人捉兔子。
解法:将4只兔子分为一组,一共有100/4=25组
每组3个人,所以总共有:3*25=75人,所以答案A
第17题:【 单选题】
据说古希腊柏拉图学园门口立了一块牌子,“不懂几何者禁止入内”。有一天来了一群人,他们都是懂几何的人,那么他们( )
A:可能会被允许进入
B:一定会被允许进入
C:一定不会被允许进入
D:不可能不被允许进入
【正确答案】: A
【试题解析】 :
考查逻辑推理知识
题目是:不懂几何者禁止入内
所以懂几何的人没有说一定能进入,所以有可能能进入,也有可能不能进入,所以根据ABCD四个选项,和题干意思相符的就是A,所以答案A
第18题:【 单选题】
人眼看到的苹果是红色的,这是因为( )。
A:苹果表面会吸收红光
B:苹果会发出红色的光
C:苹果表面反射的光以红色为主
D:红色的光打到了苹果上
【正确答案】: C
【试题解析】 :
考查物理化学基础知识
这涉及到光的颜色、成像相关的知识;此外我们能够看到某一种颜色,是物体将某一种颜色的光反射到我们的眼睛。
选项A吸收红光,那这样我们就看不见红色,所以不对
选项B发出红光,苹果本身并不会发光,所以不对
选项C反射红光,正确
选项D红色的光打到苹果上,我们平时的日光,灯光并不是单独的红色光,所以也不对
所以综上分析得到答案C
第19题:【 单选题】
阿基米德的名言“给我一个支点,我就能撬动地球”是以下选项中( )的体现。
A:牛顿三定律
B:近大远小
C:杠杆原理
D:小孔成像
【正确答案】: C
【试题解析】 :
考查物理化学基础知识
给我一个支点,我就能够撬动地球,这句话包含的刚好是一个杠杆的结构,此外这还是一个省力杠杆。所以答案C

第20题:【 单选题】
在春分或秋分正午时的赤道,竖直立起的一根木棍是没有影子的。这样的现象在北京( )。
A:春天的某一天也会出现
B:冬至时也会出现
C:夏至时也会出现
D:永远不会出现
【正确答案】: D
【试题解析】 :
考查气象与天文基础知识
小朋友们应该知道,要让木棍没有影子,那只能是在木棍的正上方进行光照才可能没有影子,所以需要将太阳照在影子上方
春分和秋分的时候,太阳是会出现在赤道的正上方
一年中太阳直射的范围只能是出现在南北回归线之间,北京的地理位置(东经116度20分,北纬39度56分)处在北回归线外,所以永远不可能被直射,所以答案D



