极简导航
本机IP
记事本
网站导航
排行榜
极简导航
blog
收录投稿
在线工具
本机IP
高清壁纸
记事本
2FA验证器
计算器
文本对比
键盘测试
随机数生成
条形码生成
数字大小写
科学计算器
更多小工具
未登录
登录后即可体验更多功能
登录
注册
找回密码
网站导航
排行榜
极简导航
blog
收录投稿
在线工具
本机IP
高清壁纸
记事本
2FA验证器
计算器
文本对比
键盘测试
随机数生成
条形码生成
数字大小写
科学计算器
更多小工具
未登录
登录后即可体验更多功能
登录
注册
找回密码
首页
•
内容分享
•
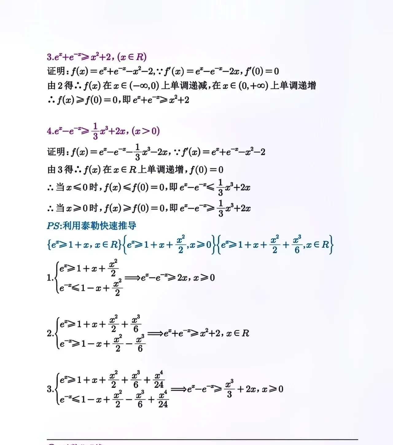
高中数学——导数中高阶解题技巧汇编
高中数学——导数中高阶解题技巧汇编
内容分享
3周前发布
i冰宇宙
0
7
0
内容分享
©
版权声明
文章版权归作者所有,未经允许请勿转载。
上一篇
如何理解 LoadBalancer Ingress
下一篇
发现el-input在el-table-column slot="header"中输入不了的bug
相关文章
百度网盘的30大实用功能,总有几个让你直呼“真香”!
内容分享
1个月前
0
0
0
GB/T 28181‐2011 修改补充文件 – 雨刷和灯光
内容分享
2周前
0
0
0
谷歌加入CUA战场,发布Gemini 2.5 Computer Use:AI直接操作浏览器
内容分享
3周前
0
0
0
四六级备考救命干货!100 个高频词组 + 15 组易错形似词,直接背
内容分享
3周前
0
0
0
7 条评论
您必须登录才能参与评论!
立即登录
LLLLLLLWUYU
读者
考个差不多的985用不上吧
3周前
无记录
登录以回复
兄貴罒w罒參上
投稿者
有没有电子文档,图片打印出来很模糊
3周前
无记录
登录以回复
武慧傑
读者
先收藏了
3周前
无记录
登录以回复
飞雪如有意
读者
很有必要这样做
3周前
无记录
登录以回复
20_897
管理员
好文章
3周前
无记录
登录以回复
江晓满
读者
函数放缩不等式
3周前
无记录
登录以回复
宝藏短句文案
投稿者
收藏了,感谢分享
3周前
无记录
登录以回复
i冰宇宙
投稿者
1
1
0
0
高中数学——导数中高阶解题技巧汇编
热门网站
日榜
周榜
月榜
广告违禁词检测
句易网 - 2025年最新广告法淘宝抖音违禁词敏感词在线查询检测工具
易飞文字识别
免费在线批量图片文字提取,支持中英文等多种语言的高效准确识别,一键复制文本导出Word。
Yandex站长平台
Yandex ID. The key to all your...
新
下载之家
下载之家提供新鲜安全的绿色软件、系统软件下载服务.所有软件均由下载之家严格检测,无病毒木马、诱导广告.安全下载绿色软件就到下载之家.
新
单机游戏下载
逗游网是的绿色单机游戏下载基地,提供单机游戏、网络游戏、好玩的手机游戏一键下载,自动安装,绿色安全!逗游网让您轻松玩游戏!
查看完整榜单
热门文章
日榜
周榜
月榜
什么是Vue 3 “Vapor Mode”(转)
3周前
1
新
决策升级:系统1挖的坑,系统2来填-《思考快与慢》笔记
6天前
1
新
数据中台建设成本分析:人力+硬件+软件,中小公司预算指南
4天前
1
新
Android手动命令行编译APK
2天前
1
新
MATLAB App Designer学习之旅(一)
2天前
1
新
我们都不卖 | 字节跳动正探索不出售TikTok美国业务的解决方案
2天前
1
查看完整榜单
标签云
网址
网址
文章
软件
书籍
考个差不多的985用不上吧
有没有电子文档,图片打印出来很模糊
先收藏了
很有必要这样做
好文章
函数放缩不等式
收藏了,感谢分享