欢迎大家关注转发交流,不定时更新!
上面章节我们讨论了FIR(Finite impulse response digital filter),该类型数字滤波器的主要特点就是在通带内具有线性相位;这里我们讨论数字滤波器的另一种类型IIR(Infinite impulse response digital filter)。
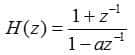
IIR滤波器的传递函数为:

它和FIR滤波器相比主要的优点在于在满足一样的滤波器设计指标的前提下,IIR滤波器的阶数要比FIR滤波器低;但是其确定也是比较明显的那就是IIR滤波器相位是非线性的,这对于某些对相位要求的信号处理系统来说是不可接受的;同时由于系统存在反馈回路,那么IIR系统并不是绝对稳定的。
经典的 IIR 滤波器、Butterworth 滤波器、Chebyshev I 类和 II 类滤波器、椭圆滤波器和 Bessel 滤波器都以不同的方式逼近理想的矩形滤波器。
1、IIR滤波器设计方法
1.1、模拟滤波器转数字滤波器
对于IIR滤波器来说,最常见的方法就是将已经设计好的模拟滤波器转换成数字滤波器,将一个系统从模拟域转换到数字域,方法有许多,例如:反向差分法,正向差分法,双线性变换法,脉冲响应不变法,阶跃响应不变法,零极点匹配法等。我们就下面两种方法进行讨论分析。
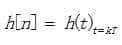
- 脉冲响应不变法
所谓脉冲响应不变法,就是将连续滤波器的传输函数H(s)变到离散域H(z)后,它的脉冲响应h(n)与连续系统的脉冲响应h(t)是相等的。即:

故利用脉冲响应不变法获取IIR滤波器的滤波系数步骤为:
1)、根据连续模拟滤波器的系统传输函数进行反变换取得其脉冲响应h(t);
2)、对h(t)进行采样获取数字滤波器的脉冲响应序列;
3)、对数字序列h[n]进行Z变换获得数字滤波器的H(z);
- 举例说明:假设我们有一个六阶的butterworth模拟低通滤波器,其截止频率为2Hz,那么我们通过脉冲响应不变法得到该butterworth滤波器的数字形式的步骤如下:
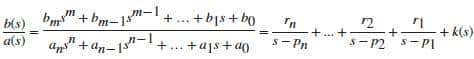
1)、对于模拟butterworth滤波器我们得到其系统函数为:

2)、将上面的模拟滤波器系统函数利用部分分式展开,即进行下图所示的转换:

3)、将模拟的极点换成数字的极点即可以得到数字系统的传输函数:

在matlab工具箱中集成有impinvar函数用于根据脉冲响应不变法设计数字滤波器,其具体调用格式为:
[bz,az]=impinvar(b,a,fs]
利用此函数得到的数字滤波器传输特性如下图所示:

在应用脉冲响应不变法进行数字滤波器设计的时候需要注意的是:如果模拟滤波器是带限的,那么通过变换得到数字滤波器的频响和模拟滤波器频响超级接近,由于数字滤波器的频响是模拟频响的周期延拖,固如果模拟滤波器是高通或者带阻,那么周期延拖后势必会存在混叠效应,因此原则上脉冲响应不变法只适用于有限带宽滤波器。对于其他类型的需要思考其他方法。
- 双线性变换法
双线性变换法又称突斯汀法,是一种基于梯形积分规则的数字积分变换方法,双线性变换法将整个s平面映射z平面的一个频率周期中,所以s平面到z平面的映射是非线性的。

因此,如果知道了模拟滤波器的传输函数,那么将上式带入就可以得到数字滤波器的传输函数。
在双线性变换过程中,模拟角频率和数字角频率存在如下关系:

还是以上面的例子为例,将模拟滤波器通过双线性变换法转换成数字滤波器。双线性变换法的缺点就是由于模拟转数字过程中频率之间不是线性的,固会存在频率畸变,这需要靠方法进行补偿。

1.2、直接设计
直接法设计IIR滤波器可以从时域思考,也可以从频域思考,在频域进行直接设计主要方法有:z平面的简单零极点法,幅度平方函数法,频域优化设计法等
- 零极点匹配法
我们知道系统传输函数的零极点决定了滤波器的幅频特性,例如以最简单的低通滤波器为例,低通滤波器在w=pi处肯定是0,那么转
换到z域就相当于该滤波器系统传输函数在z=-1处肯定有一个零点,在z=a处有一个极点,那么该滤波器传输函数为:

其中极点控制通带宽度,这个可以通过简单的画图分析就可以得到。
- 各类原型转换法
在实际拟合中有许多不同的算法,这里简单介绍其中matlab工具箱集成的一种函数:yulewalk函数,yulewalk设计递归IIR数字滤波器,使用符合指定频率响应的最小二乘法。
yulewalk 的名称反映其求滤波器分母系数的方法:它求理想的指定幅值平方响应的逆 FFT,并使用所得的自相关函数样本求解修正的 Yule-Walker 方程。具体过程大家感兴趣可以参考以下论文:
- Friedlander, B., and Boaz Porat. “The Modified Yule-Walker Method of ARMA Spectral Estimation.” IEEE® Transactions on Aerospace Electronic Systems. Vol. AES-20, Number 2, 1984, pp. 158–173
yulewalk函数调用格式如下:
[b,a] = yulewalk(n,f,m)
返回行向量 b 和 a,分别包含 n 阶 IIR 滤波器的 n+1 个分子系数和分母系数,该滤波器的频率幅值特征逼近向量 f 和 m 中给出的频率幅值特征。f 是频率点向量,范围从 0 到 1,其中 1 代表奈奎斯特频率。m 是向量,包含 f 中各点的特定幅值响应。f 和 m 可以说明任何分段线性形状幅值响应,包括多频带响应。
例如我们可以通过以上函数直接拟合一个多带滤波器其m和f分别为:
m = [0 0 1 1 0 0 1 1 0 0];
f = [0 0.1 0.2 0.3 0.4 0.5 0.6 0.7 0.8 1];

1.3、采用filterDesigner工具设计
可以看到上面介绍的方法过程较为复杂,实则同FIR设计过程一样,我们可以利用Matlab提供的filterDesigner-Gui界面之间选择自己设计滤波器的参数,即可生成并导出参数。

2、IIR数字滤波器实现结构
正如之前章节FIR滤波器硬件实现结构提及的,数字滤波器最终是由一系列加法器乘法器和移位寄存器等元素模块构建而成。这些元素之间如何安排和互联决定了一个数字滤波器的架构 。一般情况下,同样的数字滤波器可以有不同的硬件实现结构,不同的结构具有不同的属性,譬如:硬件复杂性,可实现硬件的速度,功耗,延迟等。
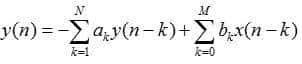
正常情况下一个IIR滤波器可以表明为如下所示的差分方程:

该滤波器的系统传输函数为:

- 直接I型结构
上式的IIR数字滤波器可以看成两个系统的级联,即:

那么系统传输函数为H(z)的IIR滤波器就可以由这两个系统级联得到,这两个系统分别是全零点系统和全极点系统,下图所示的实现为直接I型实现,可以看到实现这种结构硬件上需要M+N+1个乘法器,M+N个加法器以及M+N个存储单元。

- 直接II型结构
如果把全零点滤波器H2(z)放置于全极点滤波器H1(z)后面,那则能得到一个更加节省资源的实现结构,成为直接II型结构,具体如下图所示,该硬件结构只需要M+N+1个乘法器,M+N个加法器以及M或N个存储单元。

之所以上面的硬件实现结构称为直接型,就是由于它们是从系统传输函数直接实现的,并未进行任何变形重组。在实际硬件实现过程中,直接型虽然结构简单,但是由于直接I型和直接II型,我们把IIR的实现实则都是只分成了2个子滤波器去思考,所以如果这两个滤波器的系数在定点化的过程中引入误差,那么如果滤波器的阶数很高,那么量化误差就会累积,从而影响滤波效果。那么在实际应用中我们可以思考把原IIR滤波器的传输函数分成多个子滤波器,那么在多个滤波器在实现过程的量化误差就有可能相互抵消,从而降低对整体的影响,这就是所谓的级联型结构。
- 级联型结构
思考上面的IIR滤波器的传输函数H(z),其可以分解为多个系统的级联形式即多个子系统传输函数的乘积,具体如下图所示,与直接型结构相比,就不会特别容易受系数定点误差的影响。

- 并联型结构
上面的级联型结构虽然解决了系数定点过程误差可能造成的滤波效果误差,但是由于其串型结构,固肯定会导致滤波器的输出延时过大,那么我们可以上面的IIR滤波器的传输函数H(z),其可以分解为多个系统的并联形式即多个子系统传输函数的和,那么具体实现过程如下图所示:

除了上述的实现方式之外,还有格型结构,脉动阵列型结构等,大家感兴趣可以查阅相关文献。




不错
收藏了,感谢分享
我们需要一款数字滤波器(升余弦搁架滤波器)算法,用于处理音频信号。采样频率48KHz。滤波器的有中心频率f,带宽B,增益G等几项参数。和IIR型搁架滤波器相比,升余弦搁架滤波器有更好的选择性,斜率调整范围更大。中心频率可在20~20000赫兹范围内调整。带宽在0.1-10范围内调整。增益在-15-+15dB范围内调整。希望得到网友们的帮助!