
本次继续解析海康威视的硬件岗位笔试题,共5道选择题。
海康硬件解析回看这里:第一期
4)放大电路中测试三极管管脚电压分别是7.5V、15.1V、14.8V,则这个三极管是( )
A NPN
B PNP
C 硅管
D 锗管
解析:本题考查的是晶体管类型判断。
晶体管有4种工作状态,分别是截止、放大、饱和、倒置。从电压关系看4种工作状态有:
放大状态:发射结正偏,集电结反偏;
饱和状态:发射结正偏,集电结正偏;
截止状态:发射结零偏或反偏,集电结反偏;
倒置状态:发射结反偏,集电结正偏。
在放大电路中,三极管工作于放大状态,即发射结正偏,集电结反偏,能满足这一条件的组合方式只有Vb=14.8V,Vc=7.5V,Ve=15.1V,即可以判断出这个三极管是PNP管,故B正确。
判断三极管是硅管还是锗管的常用方法是:对于PNP管来说,让该管工作在放大状态,测Veb电压(基极与发射极的电压),如果电压Veb=0.3V则是锗管,如果Veb=0.7V则是硅管。此处,Veb=0.3V,故D正确。
5)常见的整流电路有哪几种基本形式?
A 单相半波
B 全波
C 桥式
D 倍压整流电路
解析:本题考查整理电路类型。
本题ABCD四个选型皆是整理电路。
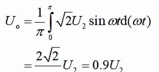
选项A单相半波整流电路:
单相半波整流电路及其波形图如图所示:

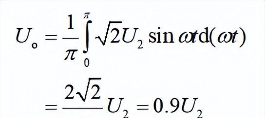
根据波形图可知,在一个工频周期内,只在正半周期间二极管导通,在负载上得到的输出电压是半个正弦波。负载上输出平均电压为:

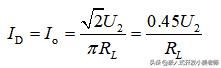
其中,U2为输入电压u2的有效值,流过负载和二极管的平均电流为:

二极管所承受的最大反向电压:

【嵌入式物联网单片机学习】嵌入式物联网开发需要学的东西比较多,大家可以加下面微信一起学习,整理了100多G(全网最全)的学习资料包(持续更新)、最新的学习路线思维导图。
各种学习群、项目开发教程。还可以围观我朋友圈中的一手行业消息,每周的技术大咖直播答疑吹水。
点击这里加我嵌入式物联网单片机学习

选项B单相全波整流电路:
单相全波整流电路及其波形图如图所示:

根据波形图可知,在一个工频周期内,正半周期间二极管VD1导通,VD2截止,负半周期间二极管VD2导通,VD1截止。正、负半周期间均有电流流过负载RL,且电流方向一致,在RL上得到的输出电压是输入电压u2的绝对值,其平均值为:

与单相半波整流电路相比,其输出电压中的直流成分得到提高,脉冲成分降低。
流过负载的平均电流为:

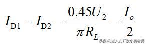
流过每个二极管的平均电流为:

每个二极管所承受的最大反向电压:

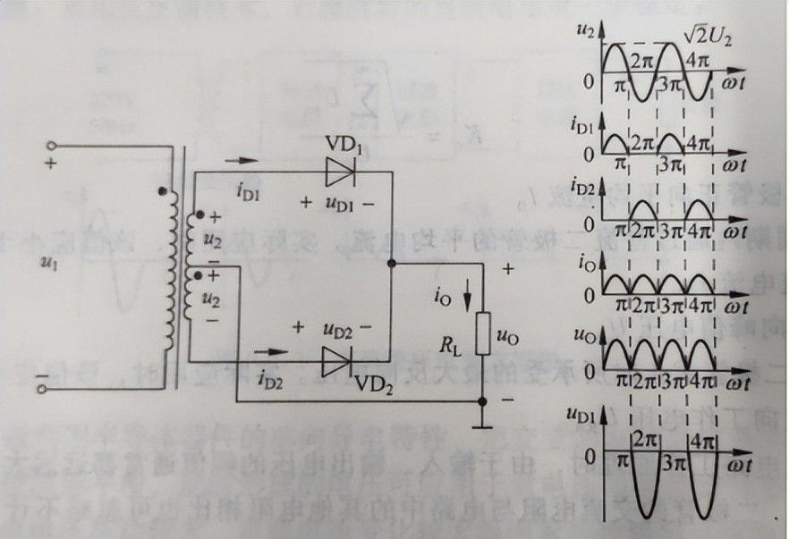
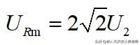
选项C单相桥式整流电路:
单相桥式整流电路及其波形图如图所示:

在u2正半周,二极管VD1、VD3导通,VD2、VD4截止,在负载RL上得到u2的正半周;在u2负半周,二极管VD2、VD4导通,VD1、VD3截止,在负载RL上得到u2的负半周。在RL上正、负半周经过合成,得到的是同一个方向的单向脉动电压,可见,该电路的输出波形与单相全波整流电路的输出波形类似。
输出电压平均值为:

流过负载的平均电流为:

流过每个二极管的平均电流为:

每个二极管所承受的最大反向电压

选项D倍压整流电路:
倍压整流电路如图所示:

稳定时输出电压为:

设所有电容器两端初始电压为零,讨论u2第一个周期期间电路的工作过程。对交流市电,周期T2=20ms。
u2从零开始上升,则二极管VD1导通,u2对电容器C1充电,C1两端电压跟随u2变化,当u2变化到峰值附近,C1两端的电压达到最大并接近峰值U2m,当u2越过峰值后数值逐渐减小并进入负半周期,二极管VD1截止,由于VD2两端电压uc1-u2大于零,二极管VD2导通,电容器C2充电,同时C1放电,当u2变化到谷值附近,C2两端电压达到最大,同时C1两端的电压达到最小,当u2越过谷值后数值逐渐增大,二级管VD2截止,由于二级管VD3两端电压uc2+u2-u1大于零,二级管VD3导通,电容器C1、C3充电,同时C2放电,当u2恰好经过一个周期时,C1两端电压大于零,即经过一个周期T2的充放电,C1两端的剩余电压大于零。这样,经过一段时间,C1两端的电压达到稳定值,其他电容器两端的电压达到稳定值。由此可以看出,倍压整流电路中,二极管的耐压和电容的耐压均为。
倍压整流是从电容器两端输出,当负载较小时,电容放电快,故输出电压降低,且脉动成分加大,故倍压整流只适用于输出电压高、负载电流小的场合。

6)放大电路的负反馈是使
A 净输入量减小
B 输出量增大
C 放大倍数增大
D 频带变宽
解析:本题考查负反馈。
总结负反馈对放大电路性能的影响:
1.负反馈大幅度提高了增益稳定性
2.大幅度展宽通频带
3.减小非线性失真
4.减小反馈环内的干扰和噪声
5.改变输入电阻和输出电阻
故D正确。
反馈分为正反馈和负反馈两种。当输出信号发生某个方向的变化,此变化称为变化根源。变化根源回送到输入端后,会再次引起输出信号变化,此称为二次变化,如果二次变化与变化根源具有一样的方向,则属于正反馈。如果二次变化与变化根源具有相反的方向,则属于负反馈。简单来说,反馈使净输入信号量比没加反馈时减小就是负反馈;使净输入信号量比没加反馈时增加就是正反馈。故A正确,B错误。
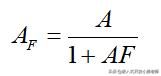
负反馈放大电路的基本方程为:

式中,A为开环放大倍数,F为负反馈的反馈系数,AF为闭环放大系数。可以看出,闭环放大系数要小于开环放大系数,故放大倍数减小,故C错误。
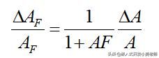
且对上式进行求微分,同时用增量取代微分,可得到

可以看出,闭环放大系数AF的相对变化量仅为开环放大系数A的相对变化量的(1+AF)分之一。可见,引入负反馈后虽然放大倍数下降,但是提高了增益稳定性。
7)多级放大电路与组成它的各个单极放大电路相比,其通频带
A 变宽
B 变窄
C 不变
D 与各单极放大电路无关
解析:本题考查多级放大电路。
多级放大电路与单极放大电路相比,上限截至频率会下降,下限截至频率会上升,通频带会变小。B正确
8)关于有源滤波器的Q值表述正确的是()
A Q越大,衰减越慢
B Q越大,衰减越快
C Q越大,f0处幅度更平滑
D Q越小,f0处幅度更陡峭
解析:本题考查有源滤波器Q值。
定义品质因数Q为:特征频率处的增益的模,除以中频增益Am。描述了滤波器分离信号中相邻频率成分的能力。
Q值越大,说明对于中心频率的信号选择性越好,能将其他频段的信号快速衰减,衰减幅度较大,中心频率f0处幅度更陡峭;Q值越小,则除中心频率外的信号衰减幅度和速度较慢,f0处幅度更平缓。故B正确。
根据Q值不同,二阶高通滤波器可以分为:
Q=0.707,巴特沃斯型,通带最为平坦,且设计参数唯一。其特征频率等于截止频率。
Q>0.707,切比雪夫型,过渡带最为陡峭,但通带内有隆起。其特征频率大于截止频率。
Q<0.707,贝塞尔型,它具有最为平坦的群延时区间。
END

原文链接:
https://mp.weixin.qq.com/s/_-khf1lgPRp2YHHC7yAHRQ
文章转载自:达尔闻说
文章来源于:求职攻略| 必须掌握的四种整流电路解析
原文链接:求职攻略| 必须掌握的四种整流电路解析
版权声明:本文来源于网络,免费传达知识,版权归原作者所有,如涉及作品版权问题,请联系我进行删除



