————————————————
3.1.5 降压电路的直流增益和直流传递函数
3.1.5.1 CCM模式的直流增益和直流传递函数
1、基于 ∆I_(L,ON)=∆I_(L,OFF) 方法推导
2、基于〈V_L 〉=0 方法推导
3.1.5.2 DCM模式的直流增益和直流传递函数
(1) 小纹波近似方法
(2) 降压电路DCM模式的子状态1
(3) 降压电路DCM模式的子状态2
(4) 降压电路DCM模式的子状态3
(5) 将“伏秒平衡”应用于降压电路DCM模式的电感电压波形
(6) 将“电荷平衡”应用于降压电路DCM模式的电容电流波形
(7) 解方程组(从而得到降压电路DCM模式下的直流增益和直流传递函数)
————————————————
BUCK电路的直流增益和直流传递函数(1)
BUCK电路的直流增益和直流传递函数(2)

图 3.8 降压电路DCM模式下的电感电压和电流波形
(5)将“伏秒平衡”应用于降压电路DCM模式的电感电压波形
“伏秒平衡”这个“宗(底层不变的基本原理)”在降压电路的CCM、BCM和DCM三个模式下都是始终成立的。如前“3.1.4.1 CCM模式下的直流增益和直流传递函数”章节所述,降压电路CCM模式下 T_ON 时间内的电感电压为 V_(L,ON)=V_IN-V_OUT ,T_OFF 时间内的电感电压为 V_(L,OFF)=-V_OUT (电感电流是减小的,感应电压与输出电压方向相反),这同样适用于DCM模式。
针对降压电路DCM模式下整个 T_SW 周期内,使用“伏秒平衡”原理可得(导通时间 T_ON 使用 D1*T_SW 表明,关断时间 T_OFF 使用 D2*T_SW 表明,未知时间使用 D3*T_SW 表明):

从而,解得 (D1+D2) 的表达式如下:

这由“伏秒平衡”原理得到。这里需要知道的是,D2 是未知参数。
(6)将“电荷平衡”应用于降压电路DCM模式的电容电流波形
基于降压电路拓扑的“输出节点”,由基尔霍夫定律电流定律可知,电感电流等于电容电流与负载电流之和(负载电流使用 I_OUT = V_OUT / R 表明),即

由“伏秒平衡”可知,输出电容上的电流平均值为零,即

所以,电感电流平均值等于负载电流,即

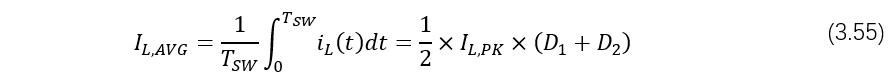
根据平均值计算公式(3.6)可知,降压电路DCM模式下的电感电流平均值(同时也是负载电流平均值,由于输出电容电流平均值为零)就是电流曲线三角形的面积对开关周期 T_SW 的平均,即(3.55)


这里,电感电流平均值的计算,也可以参考“3.3.5 电感的平均电流”章节的方法,直接将电感瞬时电流公式代入平均值计算公式得到。
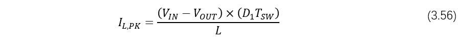
如图 3.8所示,或根据电感公式 ∆I/∆T=V/L 可知,降压电路DCM模式下的电感电流峰值为

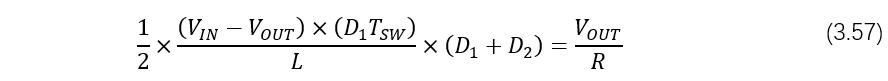
综合(3.54) (3.55) (3.56)可得

这由“电荷平衡”原理得到。这里需要知道的是,V_OUT 是未知参数,负载电阻 R 是已知参数。
————————————————
————————————————
(7)解方程组
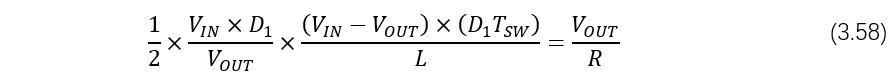
将上述公式(3.51)和(3.56)代入公式(3.57),可得:

将上述等式稍微整理,可得

将上述等式两边同时除以 V_OUT ,且稍加整理,可得:

将上述等式两边同时乘以 2L/(D1^(2)*T_SW ) ,可得:


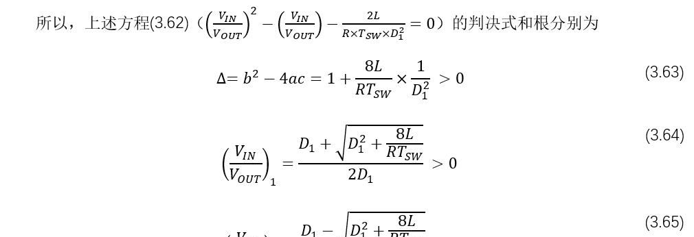
由于,降压电路的输入电压 V_IN 和输出电压 V_OUT 都是大于0的,所以方程(3.62)的根1(即公式(3.64))的倒数就是降压电路DCM模式下的直流增益为


以上公式中, D 或 D1 表明导通时间的占空比,D2 表明关断时间的占空比,D3 表明降压电路DCM模式下未知时间的占空比, M_DCM (D,K) 中的“D”,表明 M_DCM (D,K) 是占空比D的函数(同时也是K的函数)。
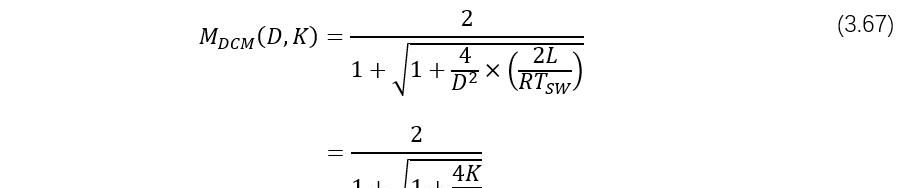
将上述公式(3.66)两边同时乘以输入电压 V_IN ,得到降压电路DCM模式下的直流传递函数为

上述公式(3.67)和(3.68)中,K=2L/(R*T_SW ) ,将在“3.1.4.3 CCM模式与DCM模式的‘关键条件’”章节详述该参数的意义(参考下篇文章)。




收藏了,感谢分享