医疗设备、测试测量仪器等许多应用对电源的纹波和噪声极其敏感。 理解输出电压纹波和噪声的产生机制以及测量技术是优化改善电路性能的基础。
第一部分:输出电压纹波
以Buck电路为例,由于寄生参数的影响,实际Buck电路的输出电压并非是稳定干净的直流电压,而是在直流电压上叠加了输出电压纹波和噪声,如图1所示。

图1. Buck 输出电压纹波和噪声
实际输出电压纹波由电感电流与输出阻抗决定,由三部分组成,如图2 所示。
- 电感电流纹波通过输出电容的寄生电阻ESR形成的压降
- 输出电容的充放电
- 寄生电感引起的电压突变

图2. 输出电压纹波的组成
不同类型的输出电容,寄生参数的大小不同,三部分纹波所占的比例也有所不同。因此,使用不同类型的输出电容会得到不同波形的电压纹波。如图3所示,电解电容的ESR较大,纹波由ESR主导,波形与电感电流纹波形状类似。陶瓷电容的ESR和ESL都很小,主要由电容的充放电主导,纹波类似电容的充放电曲线。OSCON电容三者的影响都体目前纹波中。

图3. 不同类型输出电容的电压纹波
第二部分:输出电压纹波的测量
在测量输出电压纹波时,要注意如下几点,正确方式如图4所示。
- 保证接地环路尽可能小,提议使用接地环
- 探头应靠近电容两侧
- 避免同时使用示波器其他通道测试其他点位的波形
- 如果只关注开关频率分量纹波,提议打开示波器带宽限制
如图5所示,左侧波形同时测量开关节点和输出电压纹波,带宽限制关闭。可以看到,输出电压纹波中的噪声较大,影响纹波的测量。

图4. 输出电压纹波测试方式

图5. 输出电压纹波测试对比
第三部分:输出电压纹波的抑制
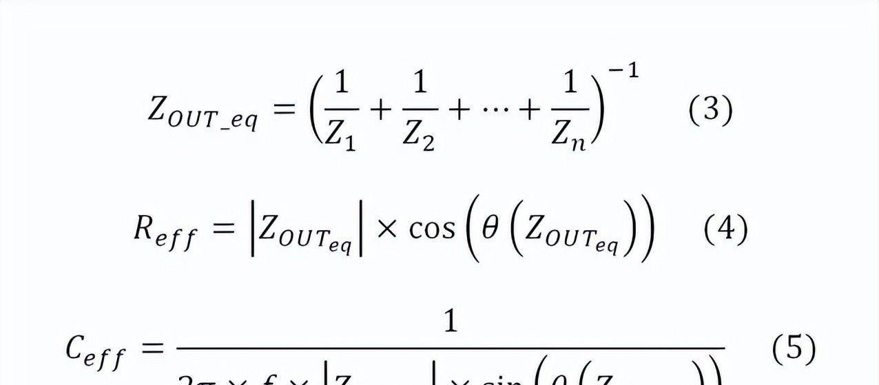
由以上分析可知,输出电压纹波由电感纹波电流和输出电容阻抗决定(式1)。

因此,要降低输出电压纹波可以通过降低电感电流纹波或者降低输出电容阻抗。 当输入输出电压和负载必定时,电感电流的纹波跟开关频率和电感量成反比。增加电感量或者开关频率可以有效降低输出电压的纹波,但开关频率和电感往往受到电路效率和体积等的限制。
当开关频率和电感值必定时, 抑制纹波电压最有效的方式是减小输出电容在开关频率处的输出阻抗。在实际应用场景中,一般会并联多种不同的输出电容来获得足够的容量并降低输出电压纹波,如图6所示。由式(2)-(5)可以计算得到输出电容的总阻抗以及等效的电阻和电容。若已知Buck电路的开关频率,通过式(3)可得到开关频率处的阻抗,也就可以得到输出电压纹波。但是,当输出电容数量较多时,计算会变得很复杂。简单有效的方式可以借助Excel 工具,如图6所示。

图6. 多个输出电容并联



图7. 输出电压纹波计算工具
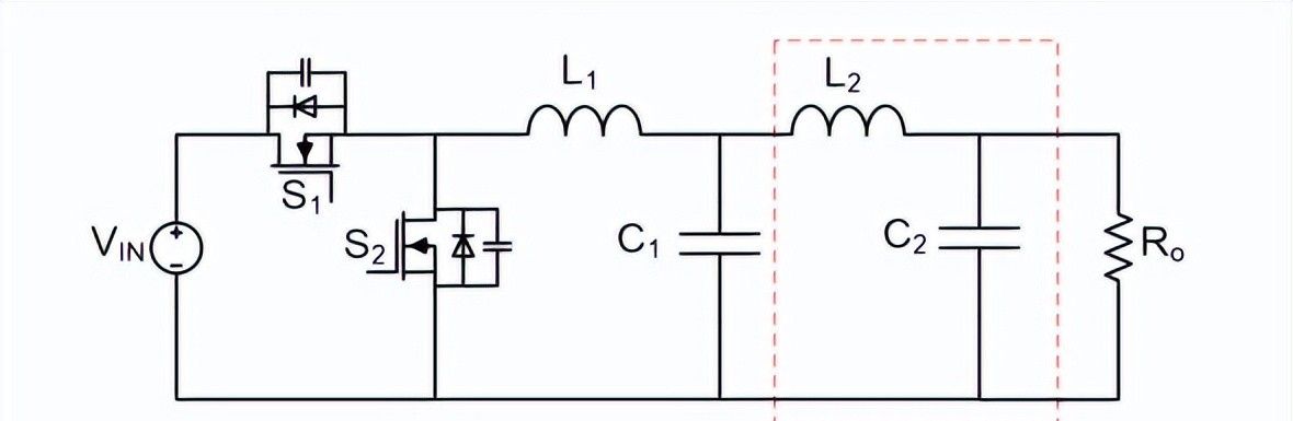
若选择合适的电容依旧无法满足纹波的要求,可以增加第二级LC 滤波器来进一步降低输出电压纹波, 如图8所示。

图8. Buck 电路第二级LC滤波器
第二级LC滤波器提供额外的增益衰减,但同时高品质因素Q值也会导致相位裕度降低,甚至导致环路稳定性问题,如图9所示。为保证环路稳定,可以在L2两端增加damp电阻,降低Q值。图10以TI电源模块LMZ23601为例 (Vin = 24V, Vout = 5V, Fsw = 750kHz, Iout = 1A),在输出端增加160nH 电感, 3X22uF 电容, 250mΩ damp电阻,输出电压纹波<1mV。

图9. Buck两级滤波波特图

图10. LMZM23601 两级滤波

图11. LMZ23601 两级滤波输出电压纹波
综上所述,理解输出电压纹波的形成原理,根据实际应用要求,针对性地优化电感值、开关频率以及输出电容,可有效降低输出电压纹波,满足应用需求。




表格哪里可以下
收藏了,感谢分享